THCS.TOANMATH.com

Tài liệu và đề thi Toán THCS miễn phí

  • Toán 6
    • Tài liệu Toán 6
    • Đề Cương Toán 6
    • Đề giữa HK1 Toán 6
    • Đề HK1 Toán 6
    • Đề giữa HK2 Toán 6
    • Đề HK2 Toán 6
    • Đề khảo sát Toán 6
    • Đề HSG Toán 6
  • Toán 7
    • Tài liệu Toán 7
    • Đề Cương Toán 7
    • Đề giữa HK1 Toán 7
    • Đề HK1 Toán 7
    • Đề giữa HK2 Toán 7
    • Đề HK2 Toán 7
    • Đề khảo sát Toán 7
    • Đề HSG Toán 7
  • Toán 8
    • Tài liệu Toán 8
    • Đề Cương Toán 8
    • Đề giữa HK1 Toán 8
    • Đề HK1 Toán 8
    • Đề giữa HK2 Toán 8
    • Đề HK2 Toán 8
    • Đề khảo sát Toán 8
    • Đề HSG Toán 8
  • Toán 9
    • Tài liệu Toán 9
    • Đề Cương Toán 9
    • Đề giữa HK1 Toán 9
    • Đề HK1 Toán 9
    • Đề giữa HK2 Toán 9
    • Đề HK2 Toán 9
    • Đề khảo sát Toán 9
    • Đề HSG Toán 9
  • Thi vào lớp 10
    • Đề thi vào lớp 10
    • Tài liệu thi vào lớp 10
  • SGK-SBT
    • Sách Giáo Khoa THPT
    • Sách Giáo Khoa THCS
  • Toán THPT

Tháng: Tháng 6 2021

Khảo Sát Chất Lượng Toán 9

Đề khảo sát Toán 9 năm 2020 – 2021 trường THCS Phan Chu Trinh – Hà Nội

09/06/2021

Khảo Sát Chất Lượng Toán 9

Đề khảo sát môn Toán 9 năm 2020 – 2021 trường THCS Ngọc Thụy – Hà Nội

09/06/2021

Đề Thi Tuyển Sinh Lớp 10 Môn Toán

Đề thi thử Toán vào lớp 10 lần 3 năm 2021 – 2022 trường Thái Thịnh – Hà Nội

09/06/2021

Đề Thi Tuyển Sinh Lớp 10 Môn Toán

Đề thi thử vào 10 môn Toán năm 2021 – 2022 trường THCS Mỹ Đình 2 – Hà Nội

09/06/2021

Khảo Sát Chất Lượng Toán 9

Đề KSCL Toán 9 năm 2020 – 2021 trường THCS Nguyễn Tri Phương – Hà Nội

09/06/2021

Khảo Sát Chất Lượng Toán 9

Đề KSCL Toán 9 năm 2020 – 2021 phòng GD&ĐT quận Hai Bà Trưng – Hà Nội

09/06/2021

Khảo Sát Chất Lượng Toán 9

Đề KSCL môn Toán lớp 9 năm 2020 – 2021 trường THCS Nguyễn Du – Hà Nội

09/06/2021

Đề Thi Tuyển Sinh Lớp 10 Môn Toán

Đề tuyển sinh lớp 10 môn Toán (chuyên) năm 2021 – 2022 sở GD&ĐT Tây Ninh

09/06/2021

Đề Thi Tuyển Sinh Lớp 10 Môn Toán

Đề thi vào 10 môn Toán năm 2021 – 2022 trường chuyên Hùng Vương – Gia Lai

09/06/2021

Đề Thi Tuyển Sinh Lớp 10 Môn Toán

Đề tuyển sinh lớp 10 môn Toán (không chuyên) năm 2021 – 2022 sở GD&ĐT Tây Ninh

08/06/2021

Đề Thi Tuyển Sinh Lớp 10 Môn Toán

Đề tuyển sinh lớp 10 môn Toán (chuyên) năm 2021 – 2022 trường chuyên Quốc học Huế

07/06/2021

Đề Thi Tuyển Sinh Lớp 10 Môn Toán

Đề tuyển sinh lớp 10 THPT chuyên môn Toán năm 2021 – 2022 sở GD&ĐT Nghệ An

07/06/2021

Đề Thi Tuyển Sinh Lớp 10 Môn Toán

Đề thi thử Toán vào lớp 10 lần 2 năm 2021 trường chuyên Đại học Sư phạm Hà Nội

06/06/2021

Đề Thi Tuyển Sinh Lớp 10 Môn Toán

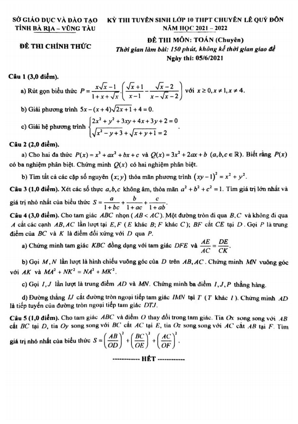
Đề Toán (chuyên) thi vào 10 năm 2021 – 2022 trường chuyên Lê Quý Đôn – BR VT

06/06/2021

Đề Thi Tuyển Sinh Lớp 10 Môn Toán

Đề tuyển sinh lớp 10 chuyên môn Toán (chuyên) năm 2021 – 2022 sở GD&ĐT Quảng Trị

06/06/2021

Đề Thi Tuyển Sinh Lớp 10 Môn Toán

Đề tuyển sinh lớp 10 môn Toán năm 2021 – 2022 sở GD&ĐT Đồng Nai

05/06/2021

Đề Thi Tuyển Sinh Lớp 10 Môn Toán

Đề tuyển sinh lớp 10 môn Toán năm 2021 – 2022 sở GD&ĐT Thừa Thiên Huế

05/06/2021

Đề Thi Tuyển Sinh Lớp 10 Môn Toán

Đề tuyển sinh lớp 10 THPT môn Toán năm 2021 – 2022 sở GD&ĐT Quảng Ngãi

05/06/2021

Đề Thi HSG Toán 9

Đề thi học sinh giỏi Toán THCS cấp tỉnh năm 2020 – 2021 sở GD&ĐT Bình Dương

05/06/2021

Đề Thi Tuyển Sinh Lớp 10 Môn Toán

Đề tuyển sinh lớp 10 chuyên môn Toán (chuyên) năm 2021 – 2022 sở GD&ĐT Bình Dương

05/06/2021

Phân trang bài viết

« 1 … 3 4 5 6 »

TÌM KIẾM THEO TỪ KHÓA

TÀI LIỆU MỚI NHẤT

  • Đề khảo sát Toán 9 tháng 5 năm 2026 trường THCS Nghĩa Tân – Hà Nội
    17/05/2026
  • Đề khảo sát Toán 9 tháng 5 năm 2026 trường THCS Chu Văn An – Hà Nội
    17/05/2026
  • Đề thi thử tuyển sinh lớp 10 môn Toán năm 2026 – 2027 phường Vinh Lộc – Nghệ An
    17/05/2026
  • Đề thi thử tuyển sinh lớp 10 môn Toán năm 2026 trường Thực hành Sài Gòn – TP HCM
    16/05/2026
  • Đề khảo sát Toán 9 tháng 5 năm 2026 trường THCS Nguyễn Du – Hà Nội
    16/05/2026
  • Đề KSCL Toán thi vào lớp 10 năm 2026 – 2027 lần 2 phường Hà Đông – Hà Nội
    16/05/2026

THEO DÕI TRÊN FACEBOOK

  • Facebook
  • Giới thiệu
  • Chính sách bảo mật
  • Liên hệ

Copyright © 2026 | THCS.TOANMATH.com