THCS.TOANMATH.com

Tài liệu và đề thi Toán THCS miễn phí

  • Toán 6
    • Tài liệu Toán 6
    • Đề Cương Toán 6
    • Đề giữa HK1 Toán 6
    • Đề HK1 Toán 6
    • Đề giữa HK2 Toán 6
    • Đề HK2 Toán 6
    • Đề khảo sát Toán 6
    • Đề HSG Toán 6
  • Toán 7
    • Tài liệu Toán 7
    • Đề Cương Toán 7
    • Đề giữa HK1 Toán 7
    • Đề HK1 Toán 7
    • Đề giữa HK2 Toán 7
    • Đề HK2 Toán 7
    • Đề khảo sát Toán 7
    • Đề HSG Toán 7
  • Toán 8
    • Tài liệu Toán 8
    • Đề Cương Toán 8
    • Đề giữa HK1 Toán 8
    • Đề HK1 Toán 8
    • Đề giữa HK2 Toán 8
    • Đề HK2 Toán 8
    • Đề khảo sát Toán 8
    • Đề HSG Toán 8
  • Toán 9
    • Tài liệu Toán 9
    • Đề Cương Toán 9
    • Đề giữa HK1 Toán 9
    • Đề HK1 Toán 9
    • Đề giữa HK2 Toán 9
    • Đề HK2 Toán 9
    • Đề khảo sát Toán 9
    • Đề HSG Toán 9
  • Thi vào lớp 10
    • Đề thi vào lớp 10
    • Tài liệu thi vào lớp 10
  • SGK-SBT
    • Sách Giáo Khoa THPT
    • Sách Giáo Khoa THCS
  • Toán THPT

Đề Thi HK1 Toán 7

Tổng hợp ĐỀ THI HK1 TOÁN 7 có đáp án và lời giải chi tiết của các trường Trung học Cơ sở, các Phòng Giáo dục và Đào tạo, các Sở Giáo dục và Đào tạo trên toàn quốc (File PDF). Các ĐỀ THI HK1 TOÁN 7 mới nhất sẽ được cập nhật liên tục và nhanh nhất có thể sau khi kỳ thi diễn ra, đáp án và lời giải chi tiết cũng sẽ được TOANMATH.com cập nhật sau đó nhằm giúp bạn đọc thuận tiện trong việc tra cứu và đối chiếu đáp án.

File WORD các ĐỀ THI CUỐI HỌC KÌ 1 TOÁN 7 (nếu có) được đính kèm trong nội dung bài viết, nhằm giúp quý thầy, cô giáo có thể tải xuống miễn phí, phục vụ cho quá trình biên soạn và giảng dạy. Quý thầy, cô giáo và bạn đọc có thể chia sẻ thêm ĐỀ THI CUỐI HỌC KÌ 1 TOÁN 7 bằng cách gửi về địa chỉ email: toanmath.com@gmail.com, nhằm tạo nguồn đề thi phong phú, đa dạng để các em học sinh lớp 7 tham khảo và rèn luyện.

Đề Thi HK1 Toán 7

Đề thi học kì 1 Toán 7 năm 2020 – 2021 trường chuyên Hà Nội – Amsterdam

01/12/2020

Đề Thi HK1 Toán 7

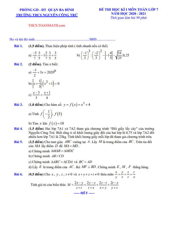
Đề thi học kì 1 Toán 7 năm 2020 – 2021 trường THCS Nguyễn Công Trứ – Hà Nội

01/12/2020

Đề Thi HK1 Toán 7

Đề thi học kì 1 Toán 7 năm 2020 – 2021 trường THCS Phú Lâm – Hà Nội

01/12/2020

Đề Thi HK1 Toán 7

Đề thi học kì 1 Toán 7 năm 2020 – 2021 trường THCS Thanh Liệt – Hà Nội

01/12/2020

Đề Thi HK1 Toán 7

Đề thi học kì 1 Toán 7 năm 2020 – 2021 trường THCS Đền Lừ – Hà Nội

01/12/2020

Đề Thi HK1 Toán 7

Đề thi học kì 1 Toán 7 năm 2020 – 2021 trường THCS Chu Văn An – Hà Nội

01/12/2020

Đề Thi HK1 Toán 7

Đề thi học kì 1 Toán 7 năm 2020 – 2021 trường THCS Phú Diễn – Hà Nội

01/12/2020

Đề Thi HK1 Toán 7

Đề thi cuối kì 1 Toán 7 năm 2019 – 2020 phòng GD&ĐT TP Cao Lãnh – Đồng Tháp

13/01/2020

Đề Thi HK1 Toán 7

Đề thi học kỳ 1 Toán 7 năm 2019 – 2020 phòng GD&ĐT Bình Xuyên – Vĩnh Phúc

26/12/2019

Đề Thi HK1 Toán 7

Đề thi học kì 1 Toán 7 năm 2019 – 2020 phòng GD&ĐT Phú Mỹ – BR VT

26/12/2019

Đề Thi HK1 Toán 7

Đề thi học kỳ 1 Toán 7 năm 2019 – 2020 phòng GD&ĐT Quận 12 – TP HCM

25/12/2019

Đề Thi HK1 Toán 7

Đề thi học kỳ 1 Toán 7 năm 2019 – 2020 phòng GD&ĐT Quận 1 – TP HCM

25/12/2019

Đề Thi HK1 Toán 7

Đề thi học kỳ 1 Toán 7 năm 2019 – 2020 phòng GD&ĐT Quận 7 – TP HCM

24/12/2019

Đề Thi HK1 Toán 7

Đề thi học kỳ 1 Toán 7 năm 2019 – 2020 phòng GD&ĐT Quận 4 – TP HCM

24/12/2019

Đề Thi HK1 Toán 7

Đề thi học kỳ 1 Toán 7 năm 2019 – 2020 phòng GD&ĐT Quận 8 – TP HCM

24/12/2019

Đề Thi HK1 Toán 7

Đề thi học kỳ 1 Toán 7 năm 2019 – 2020 phòng GD&ĐT Quận 9 – TP HCM

24/12/2019

Đề Thi HK1 Toán 7

Đề thi học kỳ 1 Toán 7 năm 2019 – 2020 phòng GD&ĐT Quận 11 – TP HCM

24/12/2019

Đề Thi HK1 Toán 7

Đề thi học kỳ 1 Toán 7 năm 2019 – 2020 phòng GD&ĐT Quận 5 – TP HCM

24/12/2019

Đề Thi HK1 Toán 7

Đề thi học kỳ 1 Toán 7 năm 2019 – 2020 phòng GD&ĐT Quận 10 – TP HCM

24/12/2019

Đề Thi HK1 Toán 7

Đề thi học kỳ 1 Toán 7 năm 2019 – 2020 phòng GD&ĐT Gò Vấp – TP HCM

24/12/2019

Phân trang bài viết

« 1 … 13 14 15 16 »

TÌM KIẾM THEO TỪ KHÓA

TÀI LIỆU MỚI NHẤT

  • Đề khảo sát CLB Toán 6 năm 2025 – 2026 trường THCS Cầu Giấy – Hà Nội
    17/01/2026
  • Đề khảo sát CLB Toán 7 năm 2025 – 2026 trường THCS Cầu Giấy – Hà Nội
    17/01/2026
  • Đề khảo sát CLB Toán 8 năm 2025 – 2026 trường THCS Cầu Giấy – Hà Nội
    17/01/2026
  • Đề chọn học sinh giỏi Toán 9 cấp xã năm 2025 – 2026 xã Sa Loong – Quảng Ngãi
    17/01/2026
  • Đề khảo sát CLB Toán 9 năm 2025 – 2026 trường THCS Cầu Giấy – Hà Nội
    17/01/2026
  • Đề thi thử Toán vào lớp 10 lần 2 năm 2026 – 2027 trường Nguyễn Chuyên Mỹ – Hải Phòng
    16/01/2026
  • Facebook
  • Giới thiệu
  • Chính sách bảo mật
  • Liên hệ

Copyright © 2026 | THCS.TOANMATH.com