THCS.TOANMATH.com

Tài liệu và đề thi Toán THCS miễn phí

  • Toán 6
    • Tài liệu Toán 6
    • Đề Cương Toán 6
    • Đề giữa HK1 Toán 6
    • Đề HK1 Toán 6
    • Đề giữa HK2 Toán 6
    • Đề HK2 Toán 6
    • Đề khảo sát Toán 6
    • Đề HSG Toán 6
  • Toán 7
    • Tài liệu Toán 7
    • Đề Cương Toán 7
    • Đề giữa HK1 Toán 7
    • Đề HK1 Toán 7
    • Đề giữa HK2 Toán 7
    • Đề HK2 Toán 7
    • Đề khảo sát Toán 7
    • Đề HSG Toán 7
  • Toán 8
    • Tài liệu Toán 8
    • Đề Cương Toán 8
    • Đề giữa HK1 Toán 8
    • Đề HK1 Toán 8
    • Đề giữa HK2 Toán 8
    • Đề HK2 Toán 8
    • Đề khảo sát Toán 8
    • Đề HSG Toán 8
  • Toán 9
    • Tài liệu Toán 9
    • Đề Cương Toán 9
    • Đề giữa HK1 Toán 9
    • Đề HK1 Toán 9
    • Đề giữa HK2 Toán 9
    • Đề HK2 Toán 9
    • Đề khảo sát Toán 9
    • Đề HSG Toán 9
  • Thi vào lớp 10
    • Đề thi vào lớp 10
    • Tài liệu thi vào lớp 10
  • SGK-SBT
    • Sách Giáo Khoa THPT
    • Sách Giáo Khoa THCS
  • Toán THPT

Đề Thi HK2 Toán 9

Tổng hợp ĐỀ THI HK2 TOÁN 9 có đáp án và lời giải chi tiết của các trường Trung học Cơ sở, các Phòng Giáo dục và Đào tạo, các Sở Giáo dục và Đào tạo trên toàn quốc (File PDF). Các ĐỀ THI HK2 TOÁN 9 mới nhất sẽ được cập nhật liên tục và nhanh nhất có thể sau khi kỳ thi diễn ra, đáp án và lời giải chi tiết cũng sẽ được TOANMATH.com cập nhật sau đó nhằm giúp bạn đọc thuận tiện trong việc tra cứu và đối chiếu đáp án.

File WORD các ĐỀ THI CUỐI HỌC KÌ 2 TOÁN 9 (nếu có) được đính kèm trong nội dung bài viết, nhằm giúp quý thầy, cô giáo có thể tải xuống miễn phí, phục vụ cho quá trình biên soạn và giảng dạy. Quý thầy, cô giáo và bạn đọc có thể chia sẻ thêm ĐỀ THI CUỐI HỌC KÌ 2 TOÁN 9 bằng cách gửi về địa chỉ email: toanmath.com@gmail.com, nhằm tạo nguồn đề thi phong phú, đa dạng để các em học sinh lớp 9 tham khảo và rèn luyện.

Đề Thi HK2 Toán 9

Đề thi HK2 Toán 9 năm 2020 – 2021 phòng GD&ĐT quận 8 – TP HCM

13/05/2021

Đề Thi HK2 Toán 9

Đề thi cuối kì 2 Toán 9 năm 2020 – 2021 sở GD&ĐT tỉnh Lâm Đồng

08/05/2021

Đề Thi HK2 Toán 9

Đề thi HK2 Toán 9 năm 2020 – 2021 phòng GD&ĐT thành phố Huế

07/05/2021

Đề Thi HK2 Toán 9

Đề kiểm tra học kỳ 2 Toán 9 năm 2020 – 2021 sở GD&ĐT tỉnh Đồng Nai

07/05/2021

Đề Thi HK2 Toán 9

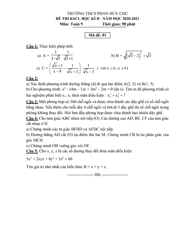
Đề thi học kì 2 Toán 9 năm 2020 – 2021 trường THCS Phan Huy Chú – Hà Tĩnh

07/05/2021

Đề Thi HK2 Toán 9

Đề thi cuối kỳ 2 Toán 9 năm 2020 – 2021 phòng GD&ĐT Hà Đông – Hà Nội

02/05/2021

Đề Thi HK2 Toán 9

Đề thi học kì 2 Toán 9 năm 2020 – 2021 phòng GD&ĐT Gia Lâm – Hà Nội

29/04/2021

Đề Thi HK2 Toán 9

Đề thi cuối học kỳ 2 Toán 9 năm 2020 – 2021 sở GD&ĐT Bắc Ninh

29/04/2021

Đề Thi HK2 Toán 9

Đề thi cuối học kỳ 2 Toán 9 năm 2020 – 2021 phòng GD&ĐT Mê Linh – Hà Nội

29/04/2021

Đề Thi HK2 Toán 9

Đề thi cuối học kì 2 Toán 9 năm 2020 – 2021 phòng GD&ĐT Thanh Xuân – Hà Nội

28/04/2021

Đề Thi HK2 Toán 9

Đề thi cuối kỳ 2 Toán 9 năm 2020 – 2021 phòng GD&ĐT Thủ Đức – TP HCM

28/04/2021

Đề Thi HK2 Toán 9

Đề thi HK2 Toán 9 năm 2020 – 2021 trường THCS Nam Từ Liêm – Hà Nội

27/04/2021

Đề Thi HK2 Toán 9

Đề thi cuối học kỳ 2 Toán 9 năm 2020 – 2021 phòng GD&ĐT Quận 4 – TP HCM

27/04/2021

Đề Thi HK2 Toán 9

Đề thi cuối học kì 2 Toán 9 năm 2020 – 2021 trường THCS Lương Phi – An Giang

27/04/2021

Đề Thi HK2 Toán 9

Đề kiểm tra học kì 2 Toán 9 năm 2020 – 2021 phòng GD&ĐT Tây Hồ – Hà Nội

22/04/2021

Đề Thi HK2 Toán 9

Đề thi học kỳ 2 Toán 9 năm 2020 – 2021 phòng GD&ĐT Ba Đình – Hà Nội

22/04/2021

Đề Thi HK2 Toán 9

Đề thi cuối kì 2 Toán 9 năm 2020 – 2021 sở GD&ĐT thành phố Đà Nẵng

20/04/2021

Đề Thi HK2 Toán 9

Đề thi HK2 Toán 9 năm 2020 – 2021 phòng GD&ĐT Bắc Từ Liêm – Hà Nội

20/04/2021

Đề Thi HK2 Toán 9

Đề KSCL học kỳ 2 Toán 9 năm 2020 – 2021 sở GD&ĐT Nam Định

20/04/2021

Đề Thi HK2 Toán 9

Đề thi HK2 Toán 9 năm 2020 – 2021 phòng GD&ĐT Hai Bà Trưng – Hà Nội

18/04/2021

Phân trang bài viết

« 1 … 10 11 12 … 17 »

TÌM KIẾM THEO TỪ KHÓA

TÀI LIỆU MỚI NHẤT

  • Đề khảo sát Toán 9 năm 2025 – 2026 phường Vĩnh Tuy – Hà Nội
    30/04/2026
  • Đề khảo sát Toán 9 năm 2025 – 2026 cụm chuyên môn số 4 – Hải Phòng
    30/04/2026
  • Đề khảo sát đợt 1 Toán 9 năm 2025 – 2026 cụm chuyên môn số 25 – Hải Phòng
    30/04/2026
  • Đề thi thử tuyển sinh lớp 10 môn Toán năm 2026 – 2027 cụm THCS số 1&2 – Ninh Bình
    30/04/2026
  • Đề thi thử tuyển sinh lớp 10 môn Toán năm 2026 – 2027 cụm THCS số 6 – Ninh Bình
    30/04/2026
  • Đề thi thử tuyển sinh lớp 10 môn Toán năm 2026 – 2027 cụm THCS số 8 – Ninh Bình
    30/04/2026

THEO DÕI TRÊN FACEBOOK

  • Facebook
  • Giới thiệu
  • Chính sách bảo mật
  • Liên hệ

Copyright © 2026 | THCS.TOANMATH.com