THCS.TOANMATH.com

Tài liệu và đề thi Toán THCS miễn phí

  • Toán 6
    • Tài liệu Toán 6
    • Đề Cương Toán 6
    • Đề giữa HK1 Toán 6
    • Đề HK1 Toán 6
    • Đề giữa HK2 Toán 6
    • Đề HK2 Toán 6
    • Đề khảo sát Toán 6
    • Đề HSG Toán 6
  • Toán 7
    • Tài liệu Toán 7
    • Đề Cương Toán 7
    • Đề giữa HK1 Toán 7
    • Đề HK1 Toán 7
    • Đề giữa HK2 Toán 7
    • Đề HK2 Toán 7
    • Đề khảo sát Toán 7
    • Đề HSG Toán 7
  • Toán 8
    • Tài liệu Toán 8
    • Đề Cương Toán 8
    • Đề giữa HK1 Toán 8
    • Đề HK1 Toán 8
    • Đề giữa HK2 Toán 8
    • Đề HK2 Toán 8
    • Đề khảo sát Toán 8
    • Đề HSG Toán 8
  • Toán 9
    • Tài liệu Toán 9
    • Đề Cương Toán 9
    • Đề giữa HK1 Toán 9
    • Đề HK1 Toán 9
    • Đề giữa HK2 Toán 9
    • Đề HK2 Toán 9
    • Đề khảo sát Toán 9
    • Đề HSG Toán 9
  • Thi vào lớp 10
    • Đề thi vào lớp 10
    • Tài liệu thi vào lớp 10
  • SGK-SBT
    • Sách Giáo Khoa THPT
    • Sách Giáo Khoa THCS
  • Toán THPT

Tháng: Tháng 12 2018

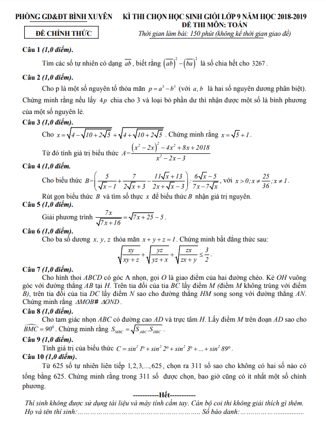
Đề Thi HSG Toán 9

Đề thi học sinh giỏi Toán 9 năm 2018 – 2019 phòng GD&ĐT Bình Xuyên – Vĩnh Phúc

26/12/2018

Đề Thi HK1 Toán 6

Đề thi HK1 Toán 6 năm 2018 – 2019 phòng GD&ĐT Thị Xã Phú Mỹ – Bà Rịa – Vũng Tàu

25/12/2018

Đề Thi HK1 Toán 7

Đề thi HK1 Toán 7 năm 2018 – 2019 phòng GD&ĐT Thị Xã Phú Mỹ – Bà Rịa – Vũng Tàu

25/12/2018

Đề Thi HK1 Toán 8

Đề thi HK1 Toán 8 năm 2018 – 2019 phòng GD&ĐT Thị Xã Phú Mỹ – Bà Rịa – Vũng Tàu

25/12/2018

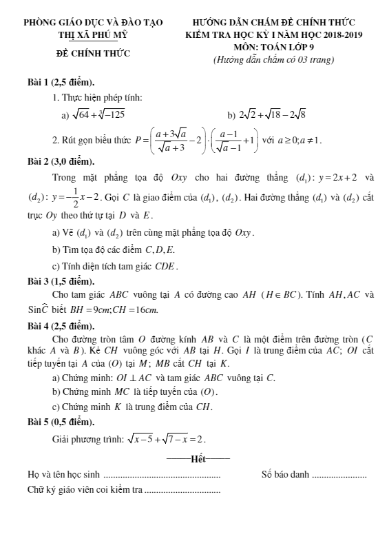
Đề Thi HK1 Toán 9

Đề thi HK1 Toán 9 năm 2018 – 2019 phòng GD&ĐT Thị Xã Phú Mỹ – Bà Rịa – Vũng Tàu

25/12/2018

Đề Thi HSG Toán 9

Đề thi chọn HSG Toán 9 THCS năm 2018 – 2019 sở GD và ĐT Thái Bình

25/12/2018

Đề Thi HSG Toán 6

Đề giao lưu học sinh giỏi Toán 6 năm 2018 – 2019 phòng GD&ĐT thành phố Thái Nguyên

25/12/2018

Đề Thi HSG Toán 7

Đề giao lưu học sinh giỏi Toán 7 năm 2018 – 2019 phòng GD&ĐT thành phố Thái Nguyên

25/12/2018

Đề Thi HSG Toán 8

Đề giao lưu học sinh giỏi Toán 8 năm 2018 – 2019 phòng GD&ĐT thành phố Thái Nguyên

25/12/2018

Đề Thi HSG Toán 9

Đề thi HSG Toán 9 năm 2018 – 2019 phòng GD&ĐT thành phố Thái Nguyên

25/12/2018

Tài Liệu Toán 9

Phân dạng và bài tập Hình học 9

21/12/2018

Đề Thi HK1 Toán 8

Đề thi HK1 Toán 8 năm học 2018 – 2019 trường THCS Dịch Vọng – Hà Nội

20/12/2018

Đề Thi HK1 Toán 7

Đề thi học kỳ 1 Toán 7 năm học 2018 – 2019 phòng GD&ĐT Quận 1 – TP. HCM

20/12/2018

Đề Thi HK1 Toán 9

Đề thi HK1 Toán 9 năm học 2018 – 2019 phòng GD&ĐT Đống Đa – Hà Nội

20/12/2018

Đề Thi HK1 Toán 7

Đề thi học kỳ 1 Toán 7 năm học 2018 – 2019 phòng GD&ĐT Quận 12 – TP. HCM

20/12/2018

Đề Thi HK1 Toán 9

Đề thi học kỳ 1 Toán 9 năm học 2018 – 2019 phòng GD và ĐT Bình Thạnh – TP. HCM

18/12/2018

Đề Thi HK1 Toán 8

Đề kiểm tra học kỳ 1 Toán 8 năm học 2018 – 2019 phòng GD và ĐT Bình Chánh – TP. HCM

18/12/2018

Đề Thi HK1 Toán 6

Đề thi học kỳ 1 Toán 6 năm học 2018 – 2019 phòng GD và ĐT Tân Phú – TP. HCM

18/12/2018

Đề Thi HK1 Toán 9

Đề thi học kỳ 1 Toán 9 năm học 2018 – 2019 phòng GD và ĐT Sơn Tây – Hà Nội

18/12/2018

Đề Thi HK1 Toán 7

Đề kiểm tra học kỳ 1 Toán 7 năm 2018 – 2019 phòng GD và ĐT Hóc Môn – TP. HCM

17/12/2018

Phân trang bài viết

1 2 3 »

TÌM KIẾM THEO TỪ KHÓA

TÀI LIỆU MỚI NHẤT

  • Đề khảo sát Toán 9 lần 2 năm 2025 – 2026 sở GD&ĐT Ninh Bình
    18/04/2026
  • Đề cương cuối kỳ 2 Toán 6 năm 2025 – 2026 trường THCS Dương Văn Mạnh – TP HCM
    18/04/2026
  • Đề cương cuối kỳ 2 Toán 7 năm 2025 – 2026 trường THCS Dương Văn Mạnh – TP HCM
    18/04/2026
  • Đề cương cuối kỳ 2 Toán 8 năm 2025 – 2026 trường THCS Dương Văn Mạnh – TP HCM
    18/04/2026
  • Đề cương cuối kỳ 2 Toán 9 năm 2025 – 2026 trường THCS Dương Văn Mạnh – TP HCM
    18/04/2026
  • Đề giao lưu HSG Toán 6 năm 2025 – 2026 xã Quảng Ngọc – Thanh Hóa
    17/04/2026

THEO DÕI TRÊN FACEBOOK

  • Facebook
  • Giới thiệu
  • Chính sách bảo mật
  • Liên hệ

Copyright © 2026 | THCS.TOANMATH.com