THCS.TOANMATH.com

Tài liệu và đề thi Toán THCS miễn phí

  • Toán 6
    • Tài liệu Toán 6
    • Đề Cương Toán 6
    • Đề giữa HK1 Toán 6
    • Đề HK1 Toán 6
    • Đề giữa HK2 Toán 6
    • Đề HK2 Toán 6
    • Đề khảo sát Toán 6
    • Đề HSG Toán 6
  • Toán 7
    • Tài liệu Toán 7
    • Đề Cương Toán 7
    • Đề giữa HK1 Toán 7
    • Đề HK1 Toán 7
    • Đề giữa HK2 Toán 7
    • Đề HK2 Toán 7
    • Đề khảo sát Toán 7
    • Đề HSG Toán 7
  • Toán 8
    • Tài liệu Toán 8
    • Đề Cương Toán 8
    • Đề giữa HK1 Toán 8
    • Đề HK1 Toán 8
    • Đề giữa HK2 Toán 8
    • Đề HK2 Toán 8
    • Đề khảo sát Toán 8
    • Đề HSG Toán 8
  • Toán 9
    • Tài liệu Toán 9
    • Đề Cương Toán 9
    • Đề giữa HK1 Toán 9
    • Đề HK1 Toán 9
    • Đề giữa HK2 Toán 9
    • Đề HK2 Toán 9
    • Đề khảo sát Toán 9
    • Đề HSG Toán 9
  • Thi vào lớp 10
    • Đề thi vào lớp 10
    • Tài liệu thi vào lớp 10
  • SGK-SBT
    • Sách Giáo Khoa THPT
    • Sách Giáo Khoa THCS
  • Toán THPT

Tháng: Tháng 12 2020

Đề Thi Giữa HK1 Toán 9

Đề thi giữa kì 1 Toán 9 năm 2020 – 2021 trường THCS Thanh Xuân – Hà Nội

09/12/2020

Đề Thi Giữa HK1 Toán 9

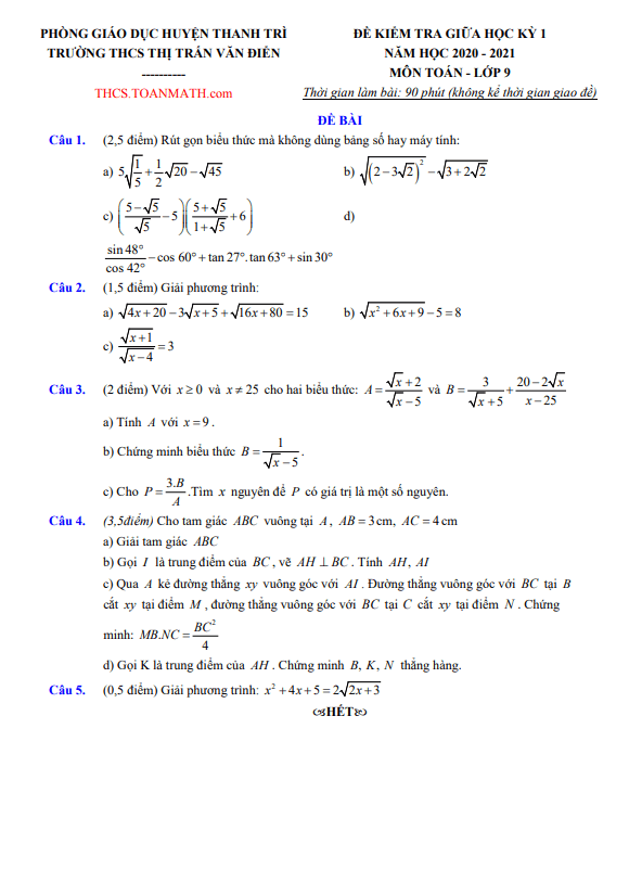
Đề thi giữa kì 1 Toán 9 năm 2020 – 2021 trường THCS thị trấn Văn Điển – Hà Nội

09/12/2020

Đề Thi Giữa HK1 Toán 9

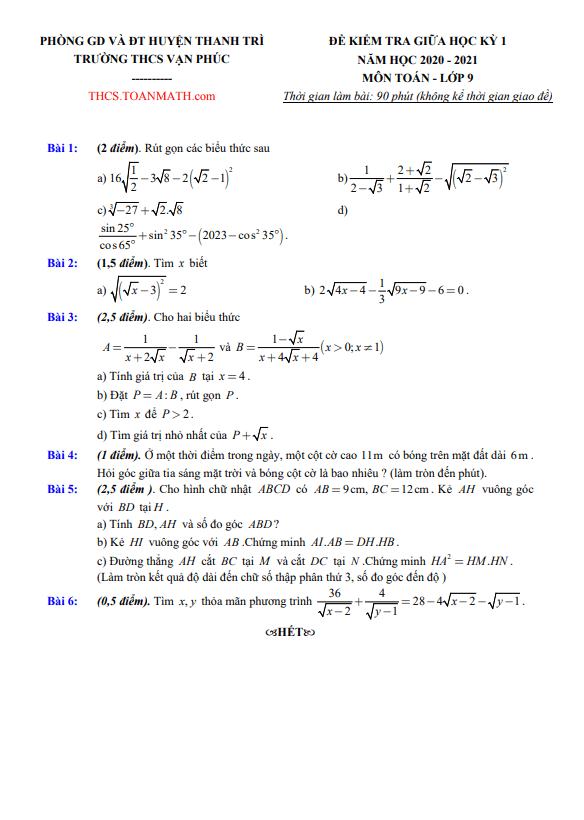
Đề thi giữa kì 1 Toán 9 năm 2020 – 2021 trường THCS Vạn Phúc – Hà Nội

09/12/2020

Đề Thi Giữa HK1 Toán 9

Đề thi giữa kì 1 Toán 9 năm 2020 – 2021 trường THCS Tứ Hiệp – Hà Nội

09/12/2020

Đề Thi Giữa HK1 Toán 9

Đề thi giữa kì 1 Toán 9 năm 2020 – 2021 trường THCS Archimedes Academy – Hà Nội

09/12/2020

Đề Thi Giữa HK1 Toán 9

Đề thi giữa kì 1 Toán 9 năm 2020 – 2021 trường THCS Cao Dương – Hà Nội

09/12/2020

Đề Thi Giữa HK1 Toán 9

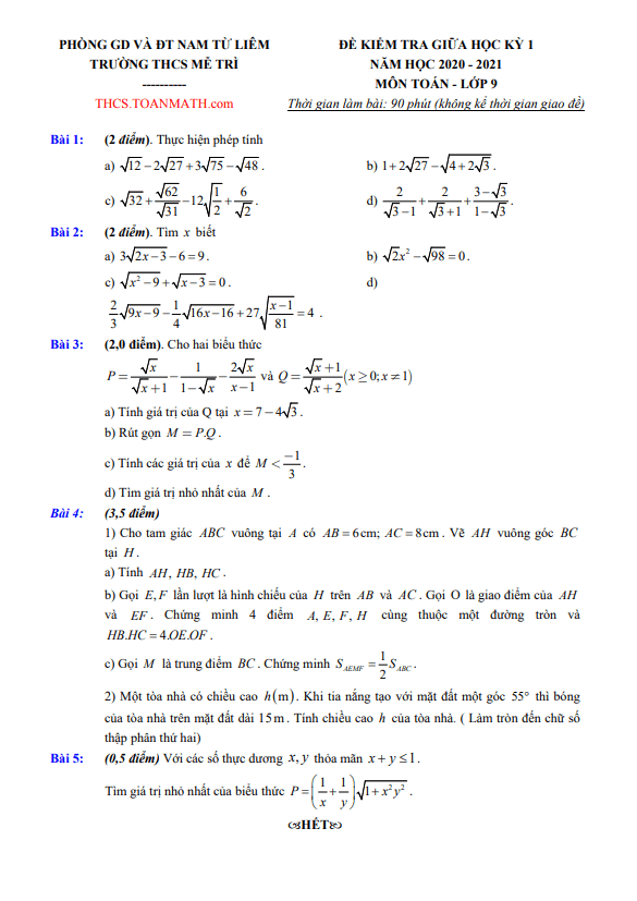
Đề thi giữa kì 1 Toán 9 năm 2020 – 2021 trường THCS Mễ Trì – Hà Nội

09/12/2020

Đề Thi Giữa HK1 Toán 9

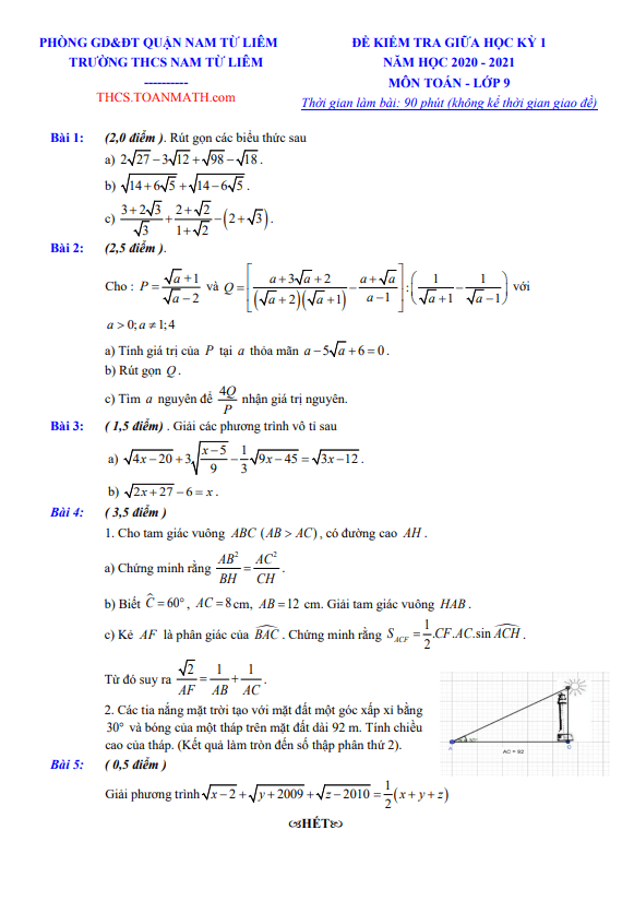
Đề thi giữa kì 1 Toán 9 năm 2020 – 2021 trường THCS Nam Từ Liêm – Hà Nội

09/12/2020

Đề Thi Giữa HK1 Toán 9

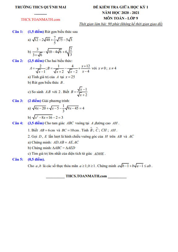
Đề thi giữa kì 1 Toán 9 năm 2020 – 2021 trường THCS Quỳnh Mai – Hà Nội

09/12/2020

Đề Thi Giữa HK1 Toán 9

Đề thi giữa kì 1 Toán 9 năm 2020 – 2021 trường THCS Thăng Long – Hà Nội

09/12/2020

Đề Thi Giữa HK1 Toán 9

Đề thi giữa kì 1 Toán 9 năm 2020 – 2021 trường THCS Thành Công – Hà Nội

09/12/2020

Đề Thi Giữa HK1 Toán 9

Đề thi giữa kì 1 Toán 9 năm 2020 – 2021 trường THCS Thanh Liệt – Hà Nội

08/12/2020

Đề Thi Giữa HK1 Toán 9

Đề thi giữa kì 1 Toán 9 năm 2020 – 2021 trường THCS Nguyễn Quý Đức – Hà Nội

08/12/2020

Đề Thi Giữa HK1 Toán 9

Đề thi giữa kì 1 Toán 9 năm 2020 – 2021 trường THCS Nghĩa Tân – Hà Nội

08/12/2020

Đề Thi HSG Toán 9

Đề thi chọn HSG Toán 9 năm 2020 – 2021 phòng GD&ĐT thành phố Hải Dương

06/12/2020

Đề Thi HSG Toán 9

Đề thi chọn HSG Toán 9 năm 2020 – 2021 phòng GD&ĐT Quận 1 – TP HCM

04/12/2020

Đề Cương Ôn Tập Toán 6

Nội dung ôn tập học kì 1 Toán 6 năm 2020 – 2021 trường THCS Đống Đa – Hà Nội

04/12/2020

Đề Thi HSG Toán 9

Đề chọn HSG Toán 9 vòng 2 năm 2020 – 2021 phòng GD&ĐT Thường Tín – Hà Nội

04/12/2020

Đề Thi HK1 Toán 8

Đề thi học kì 1 Toán 8 năm 2020 – 2021 trường THCS Archimedes Academy – Hà Nội

02/12/2020

Đề Thi HK1 Toán 8

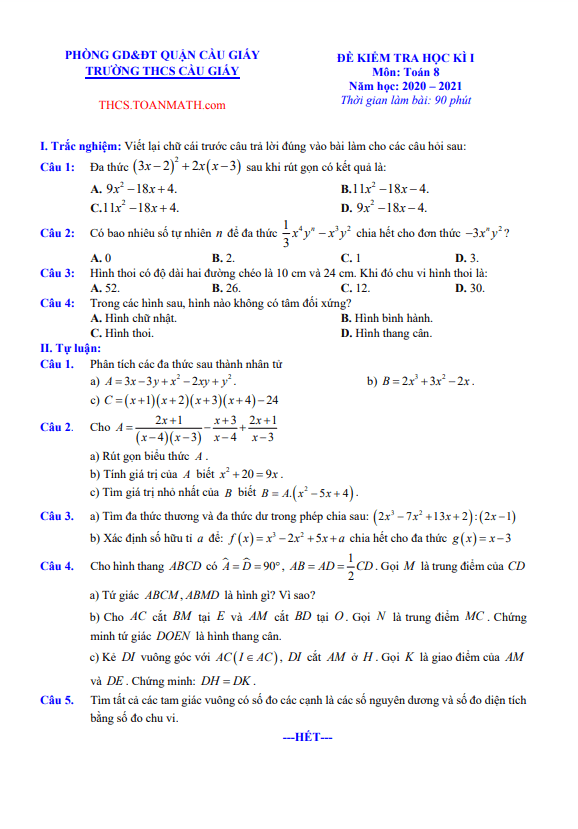
Đề thi học kì 1 Toán 8 năm 2020 – 2021 trường THCS Cầu Giấy – Hà Nội

02/12/2020

Phân trang bài viết

« 1 … 4 5 6 7 »

TÌM KIẾM THEO TỪ KHÓA

TÀI LIỆU MỚI NHẤT

  • Đề khảo sát chất lượng Toán 9 năm 2025 – 2026 phường Khương Đình – Hà Nội
    20/04/2026
  • Đề khảo sát Toán 9 năm 2025 – 2026 trường THPT chuyên Lê Quý Đôn – TP HCM
    20/04/2026
  • Đề cương cuối học kì 2 Toán 6 năm 2025 – 2026 trường THCS Long Toàn – TP HCM
    20/04/2026
  • Đề cương cuối học kì 2 Toán 7 năm 2025 – 2026 trường THCS Long Toàn – TP HCM
    20/04/2026
  • Đề cương cuối học kì 2 Toán 8 năm 2025 – 2026 trường THCS Long Toàn – TP HCM
    20/04/2026
  • Đề cương cuối học kì 2 Toán 9 năm 2025 – 2026 trường THCS Long Toàn – TP HCM
    20/04/2026

THEO DÕI TRÊN FACEBOOK

  • Facebook
  • Giới thiệu
  • Chính sách bảo mật
  • Liên hệ

Copyright © 2026 | THCS.TOANMATH.com