THCS.TOANMATH.com

Tài liệu và đề thi Toán THCS miễn phí

  • Toán 6
    • Tài liệu Toán 6
    • Đề Cương Toán 6
    • Đề giữa HK1 Toán 6
    • Đề HK1 Toán 6
    • Đề giữa HK2 Toán 6
    • Đề HK2 Toán 6
    • Đề khảo sát Toán 6
    • Đề HSG Toán 6
  • Toán 7
    • Tài liệu Toán 7
    • Đề Cương Toán 7
    • Đề giữa HK1 Toán 7
    • Đề HK1 Toán 7
    • Đề giữa HK2 Toán 7
    • Đề HK2 Toán 7
    • Đề khảo sát Toán 7
    • Đề HSG Toán 7
  • Toán 8
    • Tài liệu Toán 8
    • Đề Cương Toán 8
    • Đề giữa HK1 Toán 8
    • Đề HK1 Toán 8
    • Đề giữa HK2 Toán 8
    • Đề HK2 Toán 8
    • Đề khảo sát Toán 8
    • Đề HSG Toán 8
  • Toán 9
    • Tài liệu Toán 9
    • Đề Cương Toán 9
    • Đề giữa HK1 Toán 9
    • Đề HK1 Toán 9
    • Đề giữa HK2 Toán 9
    • Đề HK2 Toán 9
    • Đề khảo sát Toán 9
    • Đề HSG Toán 9
  • Thi vào lớp 10
    • Đề thi vào lớp 10
    • Tài liệu thi vào lớp 10
  • SGK-SBT
    • Sách Giáo Khoa THPT
    • Sách Giáo Khoa THCS
  • Toán THPT

Tháng: Tháng 12 2020

Đề Thi Giữa HK1 Toán 8

Đề thi giữa kì 1 Toán 8 năm 2020 – 2021 trường THCS Phan Bội Châu – Quảng Nam

23/12/2020

Đề Thi Giữa HK1 Toán 9

Đề thi giữa kì 1 Toán 9 năm 2020 – 2021 trường THCS Phan Bội Châu – Quảng Nam

23/12/2020

Đề Thi HK1 Toán 9

Đề thi học kì 1 Toán 9 năm 2020 – 2021 phòng GD&ĐT Tây Hồ – Hà Nội

23/12/2020

Đề Thi HK1 Toán 9

Đề thi học kì 1 Toán 9 năm 2020 – 2021 trường THPT chuyên Hà Nội – Amsterdam

22/12/2020

Đề Thi Giữa HK1 Toán 9

Đề thi giữa kì 1 Toán 9 năm 2020 – 2021 phòng GD&ĐT Đan Phượng – Hà Nội

10/12/2020

Đề Thi Giữa HK1 Toán 9

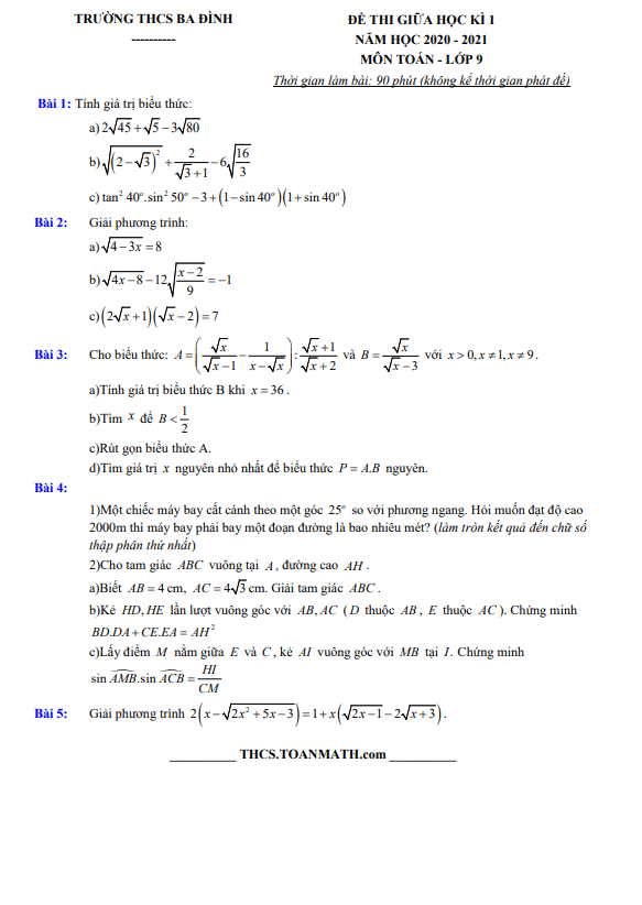
Đề thi giữa kì 1 Toán 9 năm 2020 – 2021 trường THCS Ba Đình – Hà Nội

10/12/2020

Đề Thi Giữa HK1 Toán 9

Đề thi giữa kì 1 Toán 9 năm 2020 – 2021 trường THCS Cầu Giấy – Hà Nội

10/12/2020

Đề Thi Giữa HK1 Toán 9

Đề thi giữa kì 1 Toán 9 năm 2020 – 2021 trường THCS Đống Đa – Hà Nội

10/12/2020

Đề Thi Giữa HK1 Toán 9

Đề thi giữa kì 1 Toán 9 năm 2020 – 2021 trường THCS Giảng Võ – Hà Nội

10/12/2020

Đề Thi HSG Toán 9

Đề chọn học sinh giỏi Toán THCS năm 2020 – 2021 phòng GD&ĐT thành phố Vĩnh Long

10/12/2020

Đề Thi Giữa HK1 Toán 9

Đề thi giữa kì 1 Toán 9 năm 2020 – 2021 trường THCS Ngô Sĩ Liên – Hà Nội

10/12/2020

Đề Thi Giữa HK1 Toán 9

Đề thi giữa kì 1 Toán 9 năm 2020 – 2021 trường THCS Nguyễn Công Trứ – Hà Nội

10/12/2020

Đề Thi Giữa HK1 Toán 9

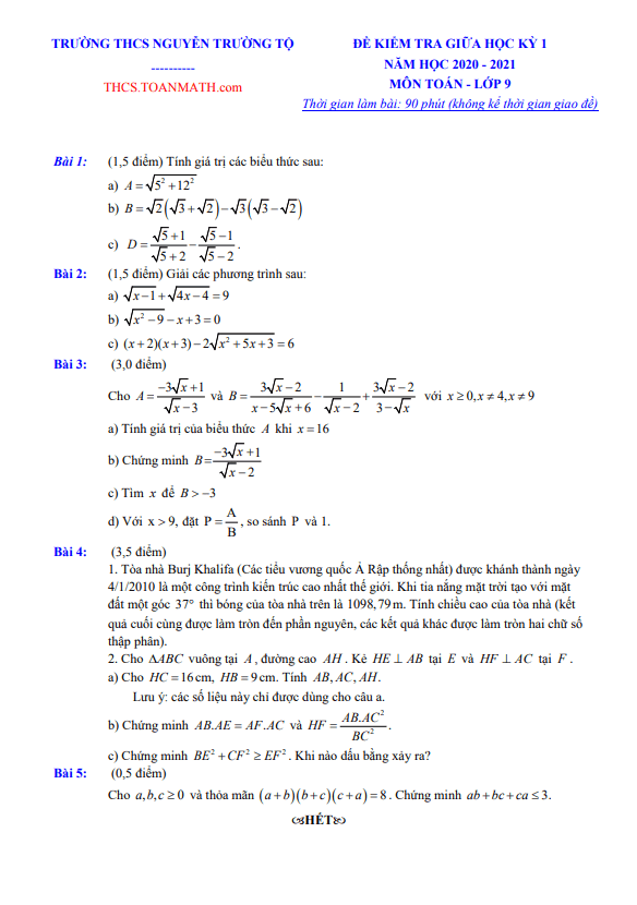
Đề thi giữa kì 1 Toán 9 năm 2020 – 2021 trường THCS Nguyễn Trường Tộ – Hà Nội

10/12/2020

Đề Thi Giữa HK1 Toán 9

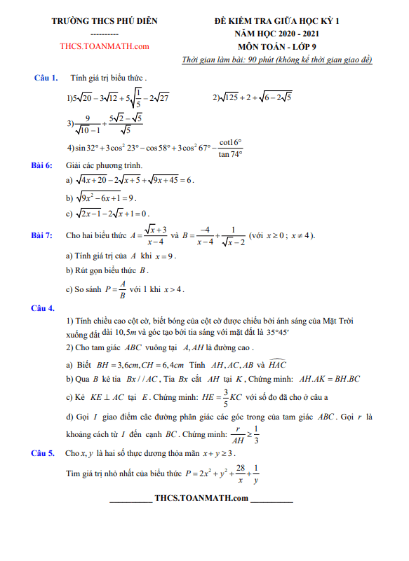
Đề thi giữa kì 1 Toán 9 năm 2020 – 2021 trường THCS Phú Diễn – Hà Nội

10/12/2020

Đề Thi Giữa HK1 Toán 9

Đề thi giữa kì 1 Toán 9 năm 2020 – 2021 trường THCS Sơn Đông – Hà Nội

10/12/2020

Đề Cương Ôn Tập Toán 9

Đề cương ôn tập học kì 1 Toán 9 năm 2020 – 2021 trường Lương Thế Vinh – Hà Nội

10/12/2020

Đề Cương Ôn Tập Toán 8

Đề cương ôn tập học kì 1 Toán 8 năm 2020 – 2021 trường Lương Thế Vinh – Hà Nội

10/12/2020

Đề Cương Ôn Tập Toán 7

Đề cương ôn tập học kì 1 Toán 7 năm 2020 – 2021 trường Lương Thế Vinh – Hà Nội

10/12/2020

Đề Cương Ôn Tập Toán 6

Đề cương ôn tập học kì 1 Toán 6 năm 2020 – 2021 trường Lương Thế Vinh – Hà Nội

10/12/2020

Đề Thi HSG Toán 9

Đề thi học sinh giỏi Toán 9 năm 2020 – 2021 phòng GD&ĐT thị xã Hoài Nhơn – Bình Định

10/12/2020

Phân trang bài viết

« 1 … 3 4 5 … 7 »

TÌM KIẾM THEO TỪ KHÓA

TÀI LIỆU MỚI NHẤT

  • Đề khảo sát chất lượng Toán 9 năm 2025 – 2026 phường Khương Đình – Hà Nội
    20/04/2026
  • Đề khảo sát Toán 9 năm 2025 – 2026 trường THPT chuyên Lê Quý Đôn – TP HCM
    20/04/2026
  • Đề cương cuối học kì 2 Toán 6 năm 2025 – 2026 trường THCS Long Toàn – TP HCM
    20/04/2026
  • Đề cương cuối học kì 2 Toán 7 năm 2025 – 2026 trường THCS Long Toàn – TP HCM
    20/04/2026
  • Đề cương cuối học kì 2 Toán 8 năm 2025 – 2026 trường THCS Long Toàn – TP HCM
    20/04/2026
  • Đề cương cuối học kì 2 Toán 9 năm 2025 – 2026 trường THCS Long Toàn – TP HCM
    20/04/2026

THEO DÕI TRÊN FACEBOOK

  • Facebook
  • Giới thiệu
  • Chính sách bảo mật
  • Liên hệ

Copyright © 2026 | THCS.TOANMATH.com