THCS.TOANMATH.com

Tài liệu và đề thi Toán THCS miễn phí

  • Toán 6
    • Tài liệu Toán 6
    • Đề Cương Toán 6
    • Đề giữa HK1 Toán 6
    • Đề HK1 Toán 6
    • Đề giữa HK2 Toán 6
    • Đề HK2 Toán 6
    • Đề khảo sát Toán 6
    • Đề HSG Toán 6
  • Toán 7
    • Tài liệu Toán 7
    • Đề Cương Toán 7
    • Đề giữa HK1 Toán 7
    • Đề HK1 Toán 7
    • Đề giữa HK2 Toán 7
    • Đề HK2 Toán 7
    • Đề khảo sát Toán 7
    • Đề HSG Toán 7
  • Toán 8
    • Tài liệu Toán 8
    • Đề Cương Toán 8
    • Đề giữa HK1 Toán 8
    • Đề HK1 Toán 8
    • Đề giữa HK2 Toán 8
    • Đề HK2 Toán 8
    • Đề khảo sát Toán 8
    • Đề HSG Toán 8
  • Toán 9
    • Tài liệu Toán 9
    • Đề Cương Toán 9
    • Đề giữa HK1 Toán 9
    • Đề HK1 Toán 9
    • Đề giữa HK2 Toán 9
    • Đề HK2 Toán 9
    • Đề khảo sát Toán 9
    • Đề HSG Toán 9
  • Thi vào lớp 10
    • Đề thi vào lớp 10
    • Tài liệu thi vào lớp 10
  • SGK-SBT
    • Sách Giáo Khoa THPT
    • Sách Giáo Khoa THCS
  • Toán THPT

Tháng: Tháng 7 2022

Đề Thi Tuyển Sinh Lớp 10 Môn Toán

Đề tuyển sinh lớp 10 môn Toán năm 2022 – 2023 sở GD&ĐT Tiền Giang

04/07/2022

Đề Thi Tuyển Sinh Lớp 10 Môn Toán

Đề tuyển sinh lớp 10 môn Toán năm 2022 trường Thực Hành Cao Nguyên – Đắk Lắk

04/07/2022

Đề Thi Tuyển Sinh Lớp 10 Môn Toán

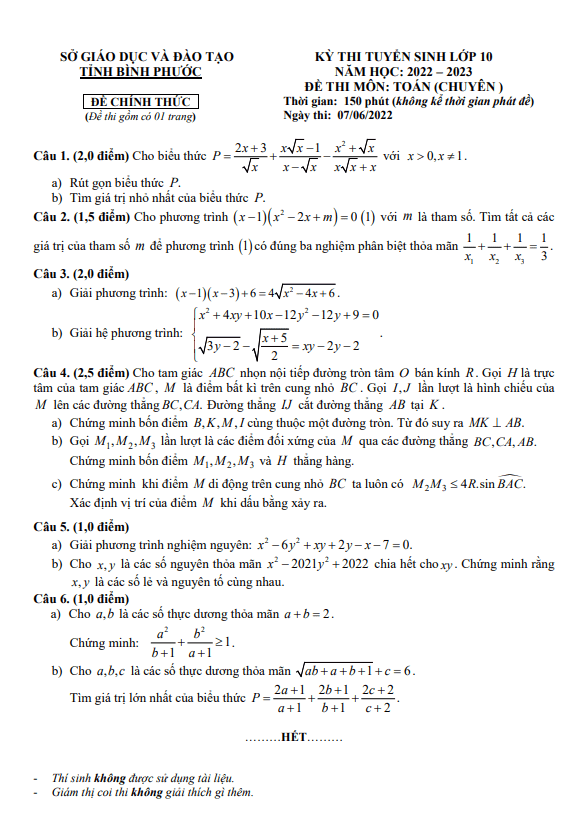
Đề tuyển sinh lớp 10 môn Toán (chuyên) năm 2022 – 2023 sở GD&ĐT Bình Phước

01/07/2022

Phân trang bài viết

« 1 2 3

TÌM KIẾM THEO TỪ KHÓA

TÀI LIỆU MỚI NHẤT

  • Đề KSCL Toán 9 năm 2025 – 2026 trường THPT chuyên Hà Nội – Amsterdam
    28/04/2026
  • Đề cuối học kì 2 Toán 9 năm 2025 – 2026 trường THCS Lê Hồng Phong – Hà Nội
    28/04/2026
  • Đề học kỳ 2 Toán 8 năm 2025 – 2026 trường Lương Thế Vinh – Hà Nội
    28/04/2026
  • Đề thi thử Toán vào lớp 10 lần 2 năm 2026 – 2027 trường Lương Ngọc Quyến – Thái Nguyên
    28/04/2026
  • Đề thi thử vào lớp 10 môn Toán lần 3 năm 2026 trường THCS Hồng Bàng – Hải Phòng
    28/04/2026
  • Đề học kì 2 Toán 7 năm 2025 – 2026 trường THCS Nguyễn Du – Hà Nội
    28/04/2026

THEO DÕI TRÊN FACEBOOK

  • Facebook
  • Giới thiệu
  • Chính sách bảo mật
  • Liên hệ

Copyright © 2026 | THCS.TOANMATH.com