THCS.TOANMATH.com

Tài liệu và đề thi Toán THCS miễn phí

  • Toán 6
    • Tài liệu Toán 6
    • Đề Cương Toán 6
    • Đề giữa HK1 Toán 6
    • Đề HK1 Toán 6
    • Đề giữa HK2 Toán 6
    • Đề HK2 Toán 6
    • Đề khảo sát Toán 6
    • Đề HSG Toán 6
  • Toán 7
    • Tài liệu Toán 7
    • Đề Cương Toán 7
    • Đề giữa HK1 Toán 7
    • Đề HK1 Toán 7
    • Đề giữa HK2 Toán 7
    • Đề HK2 Toán 7
    • Đề khảo sát Toán 7
    • Đề HSG Toán 7
  • Toán 8
    • Tài liệu Toán 8
    • Đề Cương Toán 8
    • Đề giữa HK1 Toán 8
    • Đề HK1 Toán 8
    • Đề giữa HK2 Toán 8
    • Đề HK2 Toán 8
    • Đề khảo sát Toán 8
    • Đề HSG Toán 8
  • Toán 9
    • Tài liệu Toán 9
    • Đề Cương Toán 9
    • Đề giữa HK1 Toán 9
    • Đề HK1 Toán 9
    • Đề giữa HK2 Toán 9
    • Đề HK2 Toán 9
    • Đề khảo sát Toán 9
    • Đề HSG Toán 9
  • Thi vào lớp 10
    • Đề thi vào lớp 10
    • Tài liệu thi vào lớp 10
  • SGK-SBT
    • Sách Giáo Khoa THPT
    • Sách Giáo Khoa THCS
  • Toán THPT

Tháng: Tháng 10 2022

Đề Thi Giữa HK1 Toán 9

Đề giữa học kì 1 Toán 9 năm 2022 – 2023 trường THCS Võ Thành Trang – TP HCM

26/10/2022

Đề Thi Giữa HK1 Toán 9

Đề giữa học kì 1 Toán 9 năm 2022 – 2023 trường THCS Tân Bình – TP HCM

26/10/2022

Đề Cương Ôn Tập Toán 7

Ôn tập giữa học kì 1 Toán 7 năm 2022 – 2023 trường THCS Độc Lập – Thái Nguyên

25/10/2022

Đề Cương Ôn Tập Toán 7

Đề cương giữa học kì 1 Toán 7 năm 2022 – 2023 trường THCS Võng Xuyên – Hà Nội

25/10/2022

Đề Cương Ôn Tập Toán 9

Đề cương giữa học kì 1 Toán 9 năm 2022 – 2023 trường THCS Võng Xuyên – Hà Nội

25/10/2022

Đề Cương Ôn Tập Toán 6

Đề cương ôn tập giữa kì 1 Toán 6 năm 2022 – 2023 trường THCS Thành Công – Hà Nội

25/10/2022

Đề Cương Ôn Tập Toán 7

Đề cương ôn tập giữa kì 1 Toán 7 năm 2022 – 2023 trường THCS Thành Công – Hà Nội

25/10/2022

Đề Cương Ôn Tập Toán 8

Đề cương ôn tập giữa kì 1 Toán 8 năm 2022 – 2023 trường THCS Thành Công – Hà Nội

25/10/2022

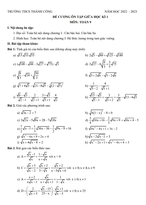
Đề Cương Ôn Tập Toán 9

Đề cương ôn tập giữa kì 1 Toán 9 năm 2022 – 2023 trường THCS Thành Công – Hà Nội

25/10/2022

Đề Cương Ôn Tập Toán 6

Đề cương ôn tập giữa kì 1 Toán 6 năm 2022 – 2023 trường THCS Ngọc Lâm – Hà Nội

22/10/2022

Đề Cương Ôn Tập Toán 7

Đề cương ôn tập giữa kì 1 Toán 7 năm 2022 – 2023 trường THCS Ngọc Lâm – Hà Nội

22/10/2022

Đề Cương Ôn Tập Toán 8

Đề cương ôn tập giữa kì 1 Toán 8 năm 2022 – 2023 trường THCS Ngọc Lâm – Hà Nội

22/10/2022

Đề Cương Ôn Tập Toán 9

Đề cương ôn tập giữa kì 1 Toán 9 năm 2022 – 2023 trường THCS Ngọc Lâm – Hà Nội

22/10/2022

Đề Thi Giữa HK1 Toán 6

Đề giữa học kì 1 Toán 6 năm 2022 – 2023 trường Lương Thế Vinh – Hà Nội

20/10/2022

Đề Thi Giữa HK1 Toán 7

Đề giữa học kì 1 Toán 7 năm 2022 – 2023 trường Lương Thế Vinh – Hà Nội

20/10/2022

Đề Thi Giữa HK1 Toán 8

Đề giữa học kì 1 Toán 8 năm 2022 – 2023 trường Lương Thế Vinh – Hà Nội

20/10/2022

Đề Thi Giữa HK1 Toán 9

Đề giữa học kì 1 Toán 9 năm 2022 – 2023 trường Lương Thế Vinh – Hà Nội

20/10/2022

Đề Thi HSG Toán 9

Đề học sinh giỏi Toán 9 năm 2022 – 2023 trường THCS Lý Nhật Quang – Nghệ An (vòng 2)

19/10/2022

Đề Thi HSG Toán 9

Đề học sinh giỏi Toán 9 năm 2022 – 2023 phòng GD&ĐT Hai Bà Trưng – Hà Nội

19/10/2022

Đề Thi HSG Toán 9

Đề học sinh giỏi Toán 9 năm 2022 – 2023 trường THCS Nghi Thủy – Nghệ An

18/10/2022

Phân trang bài viết

« 1 2 3 … 6 »

TÌM KIẾM THEO TỪ KHÓA

TÀI LIỆU MỚI NHẤT

  • Đề thi thử vào lớp 10 môn Toán tháng 4 năm 2026 phường Tây Tựu – Hà Nội
    26/04/2026
  • Đề cuối kỳ 2 Toán 8 năm 2025 – 2026 trường THCS Thanh Đa – TP HCM
    26/04/2026
  • Đề khảo sát Toán 9 lần 2 năm 2025 – 2026 trường THCS Tản Hồng – Hà Nội
    26/04/2026
  • Đề tham khảo tuyển sinh lớp 10 môn Toán năm 2026 – 2027 sở GD&ĐT Cần Thơ
    26/04/2026
  • Đề Olympic Toán THCS lần 2 năm 2025 – 2026 trường chuyên Nguyễn Trãi – Hải Phòng
    25/04/2026
  • Đề khảo sát Toán 9 lần 1 năm 2025 – 2026 trường Thống Nhất – Thanh Hóa
    25/04/2026

THEO DÕI TRÊN FACEBOOK

  • Facebook
  • Giới thiệu
  • Chính sách bảo mật
  • Liên hệ

Copyright © 2026 | THCS.TOANMATH.com