THCS.TOANMATH.com

Tài liệu và đề thi Toán THCS miễn phí

  • Toán 6
    • Tài liệu Toán 6
    • Đề Cương Toán 6
    • Đề giữa HK1 Toán 6
    • Đề HK1 Toán 6
    • Đề giữa HK2 Toán 6
    • Đề HK2 Toán 6
    • Đề khảo sát Toán 6
    • Đề HSG Toán 6
  • Toán 7
    • Tài liệu Toán 7
    • Đề Cương Toán 7
    • Đề giữa HK1 Toán 7
    • Đề HK1 Toán 7
    • Đề giữa HK2 Toán 7
    • Đề HK2 Toán 7
    • Đề khảo sát Toán 7
    • Đề HSG Toán 7
  • Toán 8
    • Tài liệu Toán 8
    • Đề Cương Toán 8
    • Đề giữa HK1 Toán 8
    • Đề HK1 Toán 8
    • Đề giữa HK2 Toán 8
    • Đề HK2 Toán 8
    • Đề khảo sát Toán 8
    • Đề HSG Toán 8
  • Toán 9
    • Tài liệu Toán 9
    • Đề Cương Toán 9
    • Đề giữa HK1 Toán 9
    • Đề HK1 Toán 9
    • Đề giữa HK2 Toán 9
    • Đề HK2 Toán 9
    • Đề khảo sát Toán 9
    • Đề HSG Toán 9
  • Thi vào lớp 10
    • Đề thi vào lớp 10
    • Tài liệu thi vào lớp 10
  • SGK-SBT
    • Sách Giáo Khoa THPT
    • Sách Giáo Khoa THCS
  • Toán THPT

Tháng: Tháng 10 2024

Đề Cương Ôn Tập Toán 7

Đề cương giữa học kỳ 1 Toán 7 năm 2024 – 2025 trường THCS Lê Ngọc Hân – Hà Nội

21/10/2024

Đề Cương Ôn Tập Toán 6

Đề cương giữa học kỳ 1 Toán 6 năm 2024 – 2025 trường THCS Lê Ngọc Hân – Hà Nội

21/10/2024

Đề Thi HSG Toán 9

Đề chọn học sinh giỏi Toán 9 năm 2024 – 2025 phòng GD&ĐT Nghi Lộc – Nghệ An

21/10/2024

Đề Thi Giữa HK1 Toán 8

Đề giữa HK1 Toán 8 năm 2024 – 2025 trường Archimedes School – Hà Nội

20/10/2024

Đề Thi Giữa HK1 Toán 9

Đề giữa kì 1 Toán 9 năm 2024 – 2025 trường THCS – THPT Nguyễn Khuyến – Bình Dương

20/10/2024

Đề Thi Tuyển Sinh Lớp 10 Môn Toán

Đề minh họa tuyển sinh lớp 10 môn Toán (chuyên) năm 2025 – 2026 sở GD&ĐT Quảng Ninh

20/10/2024

Đề Thi Tuyển Sinh Lớp 10 Môn Toán

Đề minh họa tuyển sinh lớp 10 môn Toán (chung) năm 2025 – 2026 sở GD&ĐT Quảng Ninh

20/10/2024

Đề Cương Ôn Tập Toán 6

Đề cương giữa học kì 1 Toán 6 năm 2024 – 2025 trường THCS Long Toàn – BR VT

19/10/2024

Đề Cương Ôn Tập Toán 7

Đề cương giữa học kì 1 Toán 7 năm 2024 – 2025 trường THCS Long Toàn – BR VT

19/10/2024

Đề Cương Ôn Tập Toán 8

Đề cương giữa học kì 1 Toán 8 năm 2024 – 2025 trường THCS Long Toàn – BR VT

19/10/2024

Đề Cương Ôn Tập Toán 9

Đề cương giữa học kì 1 Toán 9 năm 2024 – 2025 trường THCS Long Toàn – BR VT

19/10/2024

Đề Cương Ôn Tập Toán 6

Đề cương giữa kì 1 Toán 6 năm 2024 – 2025 trường THCS Vạn Phúc – Hà Nội

19/10/2024

Đề Cương Ôn Tập Toán 7

Đề cương giữa kì 1 Toán 7 năm 2024 – 2025 trường THCS Vạn Phúc – Hà Nội

19/10/2024

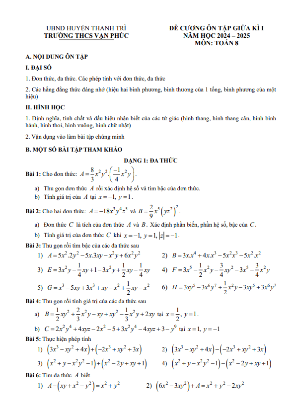
Đề Cương Ôn Tập Toán 8

Đề cương giữa kì 1 Toán 8 năm 2024 – 2025 trường THCS Vạn Phúc – Hà Nội

19/10/2024

Đề Cương Ôn Tập Toán 9

Đề cương giữa kì 1 Toán 9 năm 2024 – 2025 trường THCS Vạn Phúc – Hà Nội

19/10/2024

Đề Thi Tuyển Sinh Lớp 10 Môn Toán

Đề tham khảo tuyển sinh lớp 10 môn Toán (chuyên) năm 2025 – 2026 sở GD&ĐT Bình Phước

18/10/2024

Đề Thi Tuyển Sinh Lớp 10 Môn Toán

Đề tham khảo tuyển sinh lớp 10 môn Toán (chung) năm 2025 – 2026 sở GD&ĐT Bình Phước

18/10/2024

Khảo Sát Chất Lượng Toán 6

Đề khảo sát chất lượng Toán 6 năm 2024 – 2025 phòng GD&ĐT Nam Sách – Hải Dương

18/10/2024

Khảo Sát Chất Lượng Toán 7

Đề khảo sát chất lượng Toán 7 năm 2024 – 2025 phòng GD&ĐT Nam Sách – Hải Dương

18/10/2024

Khảo Sát Chất Lượng Toán 8

Đề khảo sát chất lượng Toán 8 năm 2024 – 2025 phòng GD&ĐT Nam Sách – Hải Dương

18/10/2024

Phân trang bài viết

« 1 … 3 4 5 … 7 »

TÌM KIẾM THEO TỪ KHÓA

TÀI LIỆU MỚI NHẤT

  • Đề ôn thi vào lớp 10 môn Toán năm 2026 – 2027 trường TH&THCS Lâm Thao – Bắc Ninh
    19/05/2026
  • Đề thi thử vào lớp 10 chuyên môn Toán lần 1 năm 2026 trường THCS Cầu Giấy – Hà Nội
    19/05/2026
  • Đề cuối kì 2 Toán 6 năm 2025 – 2026 trường THCS Việt Hưng – Hà Nội
    19/05/2026
  • Đề khảo sát Toán 9 lần 2 năm 2025 – 2026 xã Hoa Lộc – Thanh Hóa
    19/05/2026
  • Đề khảo sát Toán vào lớp 10 lần 2 năm 2026 – 2027 trường THPT Triệu Sơn 3 – Thanh Hóa
    19/05/2026
  • Đề khảo sát Toán 9 lần 3 năm 2025 – 2026 trường THCS Tản Hồng – Hà Nội
    19/05/2026

THEO DÕI TRÊN FACEBOOK

  • Facebook
  • Giới thiệu
  • Chính sách bảo mật
  • Liên hệ

Copyright © 2026 | THCS.TOANMATH.com