THCS.TOANMATH.com

Tài liệu và đề thi Toán THCS miễn phí

  • Toán 6
    • Tài liệu Toán 6
    • Đề Cương Toán 6
    • Đề giữa HK1 Toán 6
    • Đề HK1 Toán 6
    • Đề giữa HK2 Toán 6
    • Đề HK2 Toán 6
    • Đề khảo sát Toán 6
    • Đề HSG Toán 6
  • Toán 7
    • Tài liệu Toán 7
    • Đề Cương Toán 7
    • Đề giữa HK1 Toán 7
    • Đề HK1 Toán 7
    • Đề giữa HK2 Toán 7
    • Đề HK2 Toán 7
    • Đề khảo sát Toán 7
    • Đề HSG Toán 7
  • Toán 8
    • Tài liệu Toán 8
    • Đề Cương Toán 8
    • Đề giữa HK1 Toán 8
    • Đề HK1 Toán 8
    • Đề giữa HK2 Toán 8
    • Đề HK2 Toán 8
    • Đề khảo sát Toán 8
    • Đề HSG Toán 8
  • Toán 9
    • Tài liệu Toán 9
    • Đề Cương Toán 9
    • Đề giữa HK1 Toán 9
    • Đề HK1 Toán 9
    • Đề giữa HK2 Toán 9
    • Đề HK2 Toán 9
    • Đề khảo sát Toán 9
    • Đề HSG Toán 9
  • Thi vào lớp 10
    • Đề thi vào lớp 10
    • Tài liệu thi vào lớp 10
  • SGK-SBT
    • Sách Giáo Khoa THPT
    • Sách Giáo Khoa THCS
  • Toán THPT

Đề Cương Ôn Tập Toán 8

Tổng hợp ĐỀ CƯƠNG ÔN TẬP TOÁN 8 hướng dẫn nội dung ôn tập kiểm tra giữa học kì 1 / cuối học kì 1 / giữa học kì 2 / cuối học kì 2 môn Toán 8 (định dạng PDF + WORD), có đáp án và lời giải chi tiết.

Các ĐỀ CƯƠNG ÔN TẬP TOÁN 8 được biên soạn phù hợp với chương trình sách giáo khoa Toán 8: Cánh Diều, Chân Trời Sáng Tạo, Kết Nối Tri Thức Với Cuộc Sống.

Đề Cương Ôn Tập Toán 8

Đề cương ôn tập học kỳ 1 Toán 8 năm 2021 – 2022 trường THCS Ái Mộ – Hà Nội

25/12/2021

Đề Cương Ôn Tập Toán 8

Hướng dẫn ôn tập học kì 1 Toán 8 năm 2021 – 2022 trường THCS Thanh Am – Hà Nội

16/12/2021

Đề Cương Ôn Tập Toán 8

Ôn tập cuối học kỳ 1 Toán 8 năm 2021 – 2022 trường THCS Long Biên – Hà Nội

16/12/2021

Đề Cương Ôn Tập Toán 8

Đề cương ôn tập học kì 1 Toán 8 năm 2021 – 2022 trường THCS Thăng Long – Hà Nội

14/12/2021

Đề Cương Ôn Tập Toán 8

Đề cương ôn tập học kì 1 Toán 8 năm 2021 – 2022 trường THCS Đoàn Thị Điểm – Hà Nội

08/12/2021

Đề Cương Ôn Tập Toán 8

Đề cương học kì 1 Toán 8 năm 2021 – 2022 trường THCS Archimedes Academy – Hà Nội

08/12/2021

Đề Cương Ôn Tập Toán 8

Đề cương ôn tập học kỳ 1 Toán 8 năm 2021 – 2022 trường chuyên Hà Nội – Amsterdam

08/12/2021

Đề Cương Ôn Tập Toán 8

Hướng dẫn ôn tập học kỳ 1 Toán 8 năm 2021 – 2022 trường THCS Giảng Võ – Hà Nội

03/12/2021

Đề Cương Ôn Tập Toán 8

Hướng dẫn ôn tập học kì 1 Toán 8 năm 2021 – 2022 trường Vinschool – Hà Nội

24/11/2021

Đề Cương Ôn Tập Toán 8

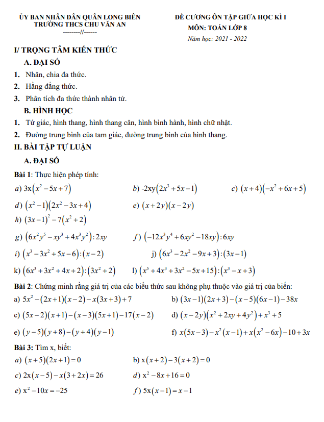
Đề cương ôn tập giữa kì 1 Toán 8 năm 2021 – 2022 trường THCS Chu Văn An – Hà Nội

23/10/2021

Đề Cương Ôn Tập Toán 8

Hướng dẫn ôn tập giữa kỳ 1 Toán 8 năm 2021 – 2022 trường THCS Giảng Võ – Hà Nội

22/10/2021

Đề Cương Ôn Tập Toán 8

Đề cương giữa kì 1 Toán 8 năm 2021 – 2022 trường THCS Thanh Liệt – Hà Nội

20/10/2021

Đề Cương Ôn Tập Toán 8

Đề cương ôn tập giữa kì 1 Toán 8 năm 2021 – 2022 trường THCS Tô Hoàng – Hà Nội

11/10/2021

Đề Cương Ôn Tập Toán 8

Hướng dẫn ôn tập học kì 2 Toán 8 năm 2020 – 2021 trường Vinschool – Hà Nội

20/04/2021

Đề Cương Ôn Tập Toán 8

Hướng dẫn ôn tập giữa kì 2 Toán 8 năm 2020 – 2021 trường Vinschool – Hà Nội

09/03/2021

Đề Cương Ôn Tập Toán 8

Đề cương ôn tập học kì 1 Toán 8 năm 2020 – 2021 trường Lương Thế Vinh – Hà Nội

10/12/2020

Đề Cương Ôn Tập Toán 8

Đề cương ôn tập học kì 1 môn Toán 8

04/12/2019

Đề Cương Ôn Tập Toán 8

Đề cương Toán 8 HK2 năm 2018 – 2019 trường THCS Nguyễn Trường Tộ – Hà Nội

03/04/2019

Đề Cương Ôn Tập Toán 8

Đề cương ôn tập Toán 8 HK2 năm 2018 – 2019 phòng GD&ĐT Cầu Giấy – Hà Nội

30/03/2019

Đề Cương Ôn Tập Toán 8

Đề cương ôn tập HK2 Toán 8 năm 2017 – 2018 trường Ngô Sĩ Liên – Hà Nội

26/04/2018

Phân trang bài viết

« 1 … 6 7 8 »

TÌM KIẾM THEO TỪ KHÓA

TÀI LIỆU MỚI NHẤT

  • Đề chọn học sinh giỏi Toán 9 năm 2025 – 2026 xã Phúc Thọ – Hà Nội
    18/10/2025
  • Đề thi học sinh giỏi Toán 9 năm 2025 – 2026 xã Nghĩa Khánh – Nghệ An
    18/10/2025
  • Đề khảo sát Toán 9 lần 2 năm 2025 – 2026 trường THCS Đống Đa – Hà Nội
    18/10/2025
  • Đề cương giữa kỳ 1 Toán 6 năm 2025 – 2026 trường THCS Thành Công – Hà Nội
    17/10/2025
  • Đề cương giữa kỳ 1 Toán 7 năm 2025 – 2026 trường THCS Thành Công – Hà Nội
    17/10/2025
  • Đề cương giữa kỳ 1 Toán 8 năm 2025 – 2026 trường THCS Thành Công – Hà Nội
    17/10/2025
  • Facebook
  • Giới thiệu
  • Chính sách bảo mật
  • Liên hệ

Copyright © 2025 | THCS.TOANMATH.com