THCS.TOANMATH.com

Tài liệu và đề thi Toán THCS miễn phí

  • Toán 6
    • Tài liệu Toán 6
    • Đề Cương Toán 6
    • Đề giữa HK1 Toán 6
    • Đề HK1 Toán 6
    • Đề giữa HK2 Toán 6
    • Đề HK2 Toán 6
    • Đề khảo sát Toán 6
    • Đề HSG Toán 6
  • Toán 7
    • Tài liệu Toán 7
    • Đề Cương Toán 7
    • Đề giữa HK1 Toán 7
    • Đề HK1 Toán 7
    • Đề giữa HK2 Toán 7
    • Đề HK2 Toán 7
    • Đề khảo sát Toán 7
    • Đề HSG Toán 7
  • Toán 8
    • Tài liệu Toán 8
    • Đề Cương Toán 8
    • Đề giữa HK1 Toán 8
    • Đề HK1 Toán 8
    • Đề giữa HK2 Toán 8
    • Đề HK2 Toán 8
    • Đề khảo sát Toán 8
    • Đề HSG Toán 8
  • Toán 9
    • Tài liệu Toán 9
    • Đề Cương Toán 9
    • Đề giữa HK1 Toán 9
    • Đề HK1 Toán 9
    • Đề giữa HK2 Toán 9
    • Đề HK2 Toán 9
    • Đề khảo sát Toán 9
    • Đề HSG Toán 9
  • Thi vào lớp 10
    • Đề thi vào lớp 10
    • Tài liệu thi vào lớp 10
  • SGK-SBT
    • Sách Giáo Khoa THPT
    • Sách Giáo Khoa THCS
  • Toán THPT

Đề Thi HK1 Toán 9

Tổng hợp ĐỀ THI HK1 TOÁN 9 có đáp án và lời giải chi tiết của các trường Trung học Cơ sở, các Phòng Giáo dục và Đào tạo, các Sở Giáo dục và Đào tạo trên toàn quốc (File PDF). Các ĐỀ THI HK1 TOÁN 9 mới nhất sẽ được cập nhật liên tục và nhanh nhất có thể sau khi kỳ thi diễn ra, đáp án và lời giải chi tiết cũng sẽ được TOANMATH.com cập nhật sau đó nhằm giúp bạn đọc thuận tiện trong việc tra cứu và đối chiếu đáp án.

File WORD các ĐỀ THI CUỐI HỌC KÌ 1 TOÁN 9 (nếu có) được đính kèm trong nội dung bài viết, nhằm giúp quý thầy, cô giáo có thể tải xuống miễn phí, phục vụ cho quá trình biên soạn và giảng dạy. Quý thầy, cô giáo và bạn đọc có thể chia sẻ thêm ĐỀ THI CUỐI HỌC KÌ 1 TOÁN 9 bằng cách gửi về địa chỉ email: toanmath.com@gmail.com, nhằm tạo nguồn đề thi phong phú, đa dạng để các em học sinh lớp 9 tham khảo và rèn luyện.

Đề Thi HK1 Toán 9

Đề kiểm tra cuối kỳ 1 Toán 9 năm 2022 – 2023 sở GD&ĐT Quảng Nam

04/01/2023

Đề Thi HK1 Toán 9

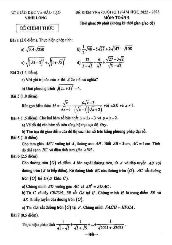
Đề kiểm tra cuối kì 1 Toán 9 năm 2022 – 2023 sở GD&ĐT Vĩnh Long

04/01/2023

Đề Thi HK1 Toán 9

Đề học kỳ 1 Toán 9 năm 2022 – 2023 phòng GD&ĐT Ý Yên – Nam Định

03/01/2023

Đề Thi HK1 Toán 9

Đề học kỳ 1 Toán 9 năm 2022 – 2023 phòng GD&ĐT Xuân Trường – Nam Định

03/01/2023

Đề Thi HK1 Toán 9

Đề học kì 1 Toán 9 năm 2022 – 2023 phòng GD&ĐT Thạch Thất – Hà Nội

02/01/2023

Đề Thi HK1 Toán 9

Đề học kì 1 Toán 9 năm 2022 – 2023 phòng GD&ĐT Thuận An – Bình Dương

02/01/2023

Đề Thi HK1 Toán 9

Đề HK1 Toán 9 năm 2022 – 2023 phòng GD&ĐT Phan Rang – Tháp Chàm – Ninh Thuận

02/01/2023

Đề Thi HK1 Toán 9

Đề cuối kì 1 Toán 9 năm 2022 – 2023 phòng GD&ĐT Dương Minh Châu – Tây Ninh

02/01/2023

Đề Thi HK1 Toán 9

Đề học kì 1 Toán 9 năm 2022 – 2023 phòng GD&ĐT Xuyên Mộc – BR VT

02/01/2023

Đề Thi HK1 Toán 9

Đề cuối kì 1 Toán 9 năm 2022 – 2023 trường THCS Nguyễn Tri Phương – TT Huế

02/01/2023

Đề Thi HK1 Toán 9

Đề học kì 1 Toán 9 năm 2022 – 2023 phòng GD&ĐT Hoàn Kiếm – Hà Nội

30/12/2022

Đề Thi HK1 Toán 9

Đề học kỳ 1 Toán 9 năm 2022 – 2023 phòng GD&ĐT Cẩm Thủy – Thanh Hoá

30/12/2022

Đề Thi HK1 Toán 9

Đề học kì 1 Toán 9 năm 2022 – 2023 trường THCS Nguyễn Văn Cừ – Quảng Ninh

30/12/2022

Đề Thi HK1 Toán 9

Đề học kỳ 1 Toán 9 năm 2022 – 2023 trường THCS Nam Hòa – Thái Nguyên

29/12/2022

Đề Thi HK1 Toán 9

Đề cuối học kỳ 1 Toán 9 năm 2022 – 2023 trường THCS Thống Nhất – Đồng Nai

29/12/2022

Đề Thi HK1 Toán 9

Đề học kỳ 1 Toán 9 năm 2022 – 2023 phòng GD&ĐT Vũng Tàu – BR VT

29/12/2022

Đề Thi HK1 Toán 9

Đề học kì 1 Toán 9 năm 2022 – 2023 phòng GD&ĐT Đống Đa – Hà Nội

29/12/2022

Đề Thi HK1 Toán 9

Đề kiểm tra cuối học kì 1 Toán 9 năm 2022 – 2023 sở GD&ĐT Bắc Giang

29/12/2022

Đề Thi HK1 Toán 9

Đề học kì 1 Toán 9 năm 2022 – 2023 phòng GD&ĐT Yên Mô – Ninh Bình

28/12/2022

Đề Thi HK1 Toán 9

Đề kiểm tra cuối học kỳ 1 Toán 9 năm 2022 – 2023 sở GD&ĐT Bắc Ninh

28/12/2022

Phân trang bài viết

« 1 … 12 13 14 … 23 »

TÌM KIẾM THEO TỪ KHÓA

TÀI LIỆU MỚI NHẤT

  • Đề KSCL Toán 9 năm 2025 – 2026 trường THPT chuyên Hà Nội – Amsterdam
    28/04/2026
  • Đề cuối học kì 2 Toán 9 năm 2025 – 2026 trường THCS Lê Hồng Phong – Hà Nội
    28/04/2026
  • Đề học kỳ 2 Toán 8 năm 2025 – 2026 trường Lương Thế Vinh – Hà Nội
    28/04/2026
  • Đề thi thử Toán vào lớp 10 lần 2 năm 2026 – 2027 trường Lương Ngọc Quyến – Thái Nguyên
    28/04/2026
  • Đề thi thử vào lớp 10 môn Toán lần 3 năm 2026 trường THCS Hồng Bàng – Hải Phòng
    28/04/2026
  • Đề học kì 2 Toán 7 năm 2025 – 2026 trường THCS Nguyễn Du – Hà Nội
    28/04/2026

THEO DÕI TRÊN FACEBOOK

  • Facebook
  • Giới thiệu
  • Chính sách bảo mật
  • Liên hệ

Copyright © 2026 | THCS.TOANMATH.com