THCS.TOANMATH.com

Tài liệu và đề thi Toán THCS miễn phí

  • Toán 6
    • Tài liệu Toán 6
    • Đề Cương Toán 6
    • Đề giữa HK1 Toán 6
    • Đề HK1 Toán 6
    • Đề giữa HK2 Toán 6
    • Đề HK2 Toán 6
    • Đề khảo sát Toán 6
    • Đề HSG Toán 6
  • Toán 7
    • Tài liệu Toán 7
    • Đề Cương Toán 7
    • Đề giữa HK1 Toán 7
    • Đề HK1 Toán 7
    • Đề giữa HK2 Toán 7
    • Đề HK2 Toán 7
    • Đề khảo sát Toán 7
    • Đề HSG Toán 7
  • Toán 8
    • Tài liệu Toán 8
    • Đề Cương Toán 8
    • Đề giữa HK1 Toán 8
    • Đề HK1 Toán 8
    • Đề giữa HK2 Toán 8
    • Đề HK2 Toán 8
    • Đề khảo sát Toán 8
    • Đề HSG Toán 8
  • Toán 9
    • Tài liệu Toán 9
    • Đề Cương Toán 9
    • Đề giữa HK1 Toán 9
    • Đề HK1 Toán 9
    • Đề giữa HK2 Toán 9
    • Đề HK2 Toán 9
    • Đề khảo sát Toán 9
    • Đề HSG Toán 9
  • Thi vào lớp 10
    • Đề thi vào lớp 10
    • Tài liệu thi vào lớp 10
  • SGK-SBT
    • Sách Giáo Khoa THPT
    • Sách Giáo Khoa THCS
  • Toán THPT

Đề Thi Tuyển Sinh Lớp 10 Môn Toán

Tuyển chọn ĐỀ THI TUYỂN SINH LỚP 10 MÔN TOÁN (đề thi chính thức / đề thi tham khảo) có đáp án và lời giải chi tiết từ các trường Trung học Cơ sở, Trung học Phổ thông, các Phòng Giáo dục và Đào tạo, Sở Giáo dục và Đào tạo trên toàn quốc (định dạng PDF + WORD).

Các ĐỀ THI TUYỂN SINH LỚP 10 MÔN TOÁN sẽ giúp các em học sinh lớp 9 thử sức, rèn luyện kiến thức, để đánh giá đúng năng lực bản thân, nắm vững được các dạng bài thường xuất hiện trong đề thi, từ đó vạch ra chiến lược ôn thi hiệu quả, đạt kết quả tốt nhất và trúng tuyển vào lớp 10 các trường Trung học Phổ thông mà bản thân các em mong muốn.

Đề Thi Tuyển Sinh Lớp 10 Môn Toán

Đề thi thử Toán 9 tháng 2 năm 2022 trường THCS Dịch Vọng – Hà Nội

21/02/2022

Đề Thi Tuyển Sinh Lớp 10 Môn Toán

Đề thi thử Toán vào lớp 10 lần 1 năm 2022 – 2023 trường Lương Thế Vinh – Hà Nội

17/01/2022

Đề Thi Tuyển Sinh Lớp 10 Môn Toán

Đề tham khảo tuyển sinh vào lớp 10 THPT năm 2022 – 2023 sở GD&ĐT Phú Thọ

31/10/2021

Đề Thi Tuyển Sinh Lớp 10 Môn Toán

Đề tuyển sinh lớp 10 chuyên môn Toán (chuyên) năm 2021 – 2022 sở GD&ĐT Vĩnh Phúc

07/07/2021

Đề Thi Tuyển Sinh Lớp 10 Môn Toán

Đề tuyển sinh lớp 10 chuyên môn Toán (chuyên) năm 2021 – 2022 sở GD&ĐT Vĩnh Long

07/07/2021

Đề Thi Tuyển Sinh Lớp 10 Môn Toán

Đề tuyển sinh lớp 10 chuyên môn Toán năm 2021 – 2022 sở GD&ĐT Trà Vinh

07/07/2021

Đề Thi Tuyển Sinh Lớp 10 Môn Toán

Đề tuyển sinh lớp 10 môn Toán (chuyên Toán) năm 2021 – 2022 sở GD&ĐT Tiền Giang

07/07/2021

Đề Thi Tuyển Sinh Lớp 10 Môn Toán

Đề thi vào 10 môn Toán (chuyên Toán) năm 2021 – 2022 trường chuyên Lam Sơn – Thanh Hóa

07/07/2021

Đề Thi Tuyển Sinh Lớp 10 Môn Toán

Đề tuyển sinh lớp 10 môn Toán (chuyên) năm 2021 – 2022 trường THPT chuyên Thái Bình

07/07/2021

Đề Thi Tuyển Sinh Lớp 10 Môn Toán

Đề tuyển sinh lớp 10 môn Toán (hệ chuyên) năm 2021 – 2022 sở GD&ĐT Quảng Ngãi

07/07/2021

Đề Thi Tuyển Sinh Lớp 10 Môn Toán

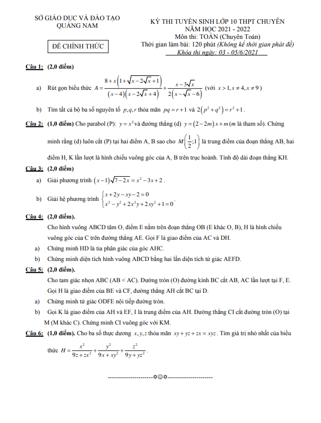
Đề tuyển sinh lớp 10 chuyên môn Toán (chuyên Toán) năm 2021 – 2022 sở GD&ĐT Quảng Nam

07/07/2021

Đề Thi Tuyển Sinh Lớp 10 Môn Toán

Đề tuyển sinh lớp 10 môn Toán (chuyên) năm 2021 – 2022 sở GD&ĐT Quảng Bình

07/07/2021

Đề Thi Tuyển Sinh Lớp 10 Môn Toán

Đề tuyển sinh lớp 10 chuyên môn Toán năm 2021 – 2022 sở GD&ĐT Ninh Thuận

07/07/2021

Đề Thi Tuyển Sinh Lớp 10 Môn Toán

Đề thi vào 10 môn Toán (chuyên) năm 2021 – 2022 trường chuyên Lê Hồng Phong – Nam Định

06/07/2021

Đề Thi Tuyển Sinh Lớp 10 Môn Toán

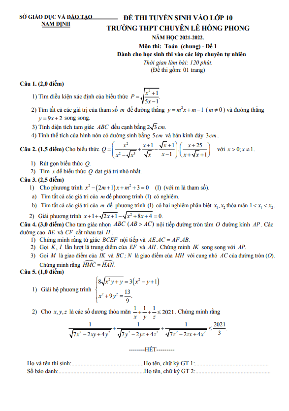
Đề thi vào 10 môn Toán (chung) năm 2021 – 2022 trường chuyên Lê Hồng Phong – Nam Định (Đề 1)

06/07/2021

Đề Thi Tuyển Sinh Lớp 10 Môn Toán

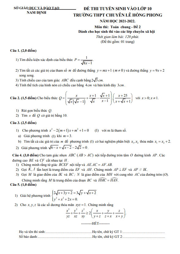
Đề thi vào 10 môn Toán (chung) năm 2021 – 2022 trường chuyên Lê Hồng Phong – Nam Định (Đề 2)

06/07/2021

Đề Thi Tuyển Sinh Lớp 10 Môn Toán

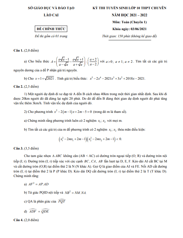
Đề tuyển sinh lớp 10 chuyên môn Toán (chuyên) năm 2021 – 2022 sở GD&ĐT Lào Cai

06/07/2021

Đề Thi Tuyển Sinh Lớp 10 Môn Toán

Đề thi vào 10 môn Toán (chung) năm 2021 – 2022 trường chuyên Lê Quý Đôn – Lai Châu

06/07/2021

Đề Thi Tuyển Sinh Lớp 10 Môn Toán

Đề thi vào 10 chuyên môn Toán (chuyên) năm 2021 – 2022 sở GD&ĐT Lâm Đồng

06/07/2021

Đề Thi Tuyển Sinh Lớp 10 Môn Toán

Đề thi vào 10 chuyên môn Toán (chuyên) năm 2021 – 2022 sở GD&ĐT Kiên Giang

06/07/2021

Phân trang bài viết

« 1 … 41 42 43 … 65 »

TÌM KIẾM THEO TỪ KHÓA

TÀI LIỆU MỚI NHẤT

  • Đề KSCL Toán 9 năm 2025 – 2026 trường THPT chuyên Hà Nội – Amsterdam
    28/04/2026
  • Đề cuối học kì 2 Toán 9 năm 2025 – 2026 trường THCS Lê Hồng Phong – Hà Nội
    28/04/2026
  • Đề học kỳ 2 Toán 8 năm 2025 – 2026 trường Lương Thế Vinh – Hà Nội
    28/04/2026
  • Đề thi thử Toán vào lớp 10 lần 2 năm 2026 – 2027 trường Lương Ngọc Quyến – Thái Nguyên
    28/04/2026
  • Đề thi thử vào lớp 10 môn Toán lần 3 năm 2026 trường THCS Hồng Bàng – Hải Phòng
    28/04/2026
  • Đề học kì 2 Toán 7 năm 2025 – 2026 trường THCS Nguyễn Du – Hà Nội
    28/04/2026

THEO DÕI TRÊN FACEBOOK

  • Facebook
  • Giới thiệu
  • Chính sách bảo mật
  • Liên hệ

Copyright © 2026 | THCS.TOANMATH.com