THCS.TOANMATH.com

Tài liệu và đề thi Toán THCS miễn phí

  • Toán 6
    • Tài liệu Toán 6
    • Đề Cương Toán 6
    • Đề giữa HK1 Toán 6
    • Đề HK1 Toán 6
    • Đề giữa HK2 Toán 6
    • Đề HK2 Toán 6
    • Đề khảo sát Toán 6
    • Đề HSG Toán 6
  • Toán 7
    • Tài liệu Toán 7
    • Đề Cương Toán 7
    • Đề giữa HK1 Toán 7
    • Đề HK1 Toán 7
    • Đề giữa HK2 Toán 7
    • Đề HK2 Toán 7
    • Đề khảo sát Toán 7
    • Đề HSG Toán 7
  • Toán 8
    • Tài liệu Toán 8
    • Đề Cương Toán 8
    • Đề giữa HK1 Toán 8
    • Đề HK1 Toán 8
    • Đề giữa HK2 Toán 8
    • Đề HK2 Toán 8
    • Đề khảo sát Toán 8
    • Đề HSG Toán 8
  • Toán 9
    • Tài liệu Toán 9
    • Đề Cương Toán 9
    • Đề giữa HK1 Toán 9
    • Đề HK1 Toán 9
    • Đề giữa HK2 Toán 9
    • Đề HK2 Toán 9
    • Đề khảo sát Toán 9
    • Đề HSG Toán 9
  • Thi vào lớp 10
    • Đề thi vào lớp 10
    • Tài liệu thi vào lớp 10
  • SGK-SBT
    • Sách Giáo Khoa THPT
    • Sách Giáo Khoa THCS
  • Toán THPT

Đề Thi Tuyển Sinh Lớp 10 Môn Toán

Tuyển chọn ĐỀ THI TUYỂN SINH LỚP 10 MÔN TOÁN (đề thi chính thức / đề thi tham khảo) có đáp án và lời giải chi tiết từ các trường Trung học Cơ sở, Trung học Phổ thông, các Phòng Giáo dục và Đào tạo, Sở Giáo dục và Đào tạo trên toàn quốc (định dạng PDF + WORD).

Các ĐỀ THI TUYỂN SINH LỚP 10 MÔN TOÁN sẽ giúp các em học sinh lớp 9 thử sức, rèn luyện kiến thức, để đánh giá đúng năng lực bản thân, nắm vững được các dạng bài thường xuất hiện trong đề thi, từ đó vạch ra chiến lược ôn thi hiệu quả, đạt kết quả tốt nhất và trúng tuyển vào lớp 10 các trường Trung học Phổ thông mà bản thân các em mong muốn.

Đề Thi Tuyển Sinh Lớp 10 Môn Toán

Đề thi vào 10 môn Toán (chuyên) năm 2021 – 2022 trường chuyên Lê Quý Đôn – Khánh Hòa

06/07/2021

Đề Thi Tuyển Sinh Lớp 10 Môn Toán

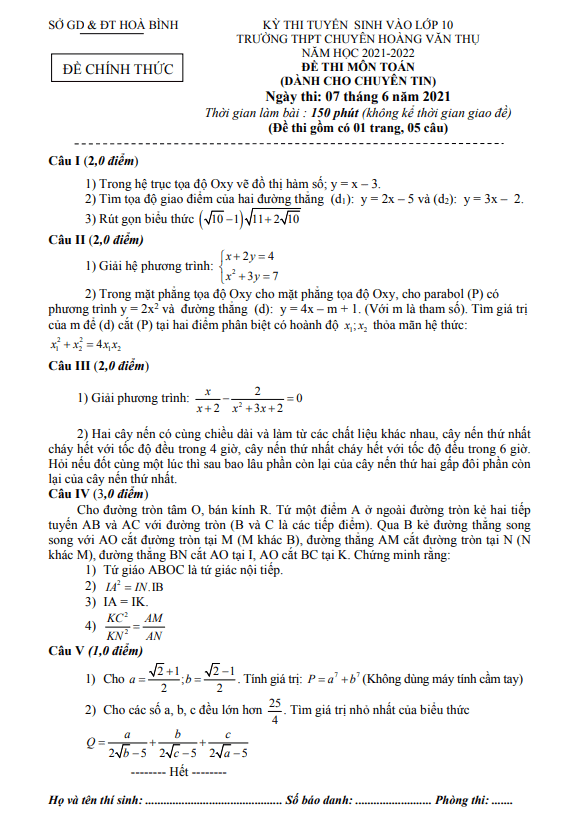
Đề thi vào 10 môn Toán (chuyên Tin) năm 2021 – 2022 trường chuyên Hoàng Văn Thụ – Hòa Bình

06/07/2021

Đề Thi Tuyển Sinh Lớp 10 Môn Toán

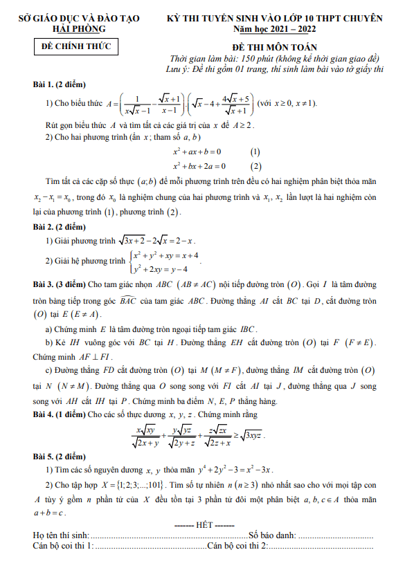
Đề tuyển sinh lớp 10 chuyên môn Toán năm 2021 – 2022 sở GD&ĐT Hải Phòng

06/07/2021

Đề Thi Tuyển Sinh Lớp 10 Môn Toán

Đề tuyển sinh lớp 10 chuyên môn Toán (chuyên) năm 2021 – 2022 sở GD&ĐT Hà Nam

06/07/2021

Đề Thi Tuyển Sinh Lớp 10 Môn Toán

Đề tuyển sinh lớp 10 môn Toán (chuyên) năm 2021 – 2022 sở GD&ĐT Đồng Nai

06/07/2021

Đề Thi Tuyển Sinh Lớp 10 Môn Toán

Đề tuyển sinh lớp 10 môn Toán (chuyên) năm 2021 – 2022 sở GD&ĐT Cần Thơ

06/07/2021

Đề Thi Tuyển Sinh Lớp 10 Môn Toán

Đề thi vào 10 chuyên môn Toán (chuyên) năm 2021 – 2022 sở GD&ĐT Cà Mau

06/07/2021

Đề Thi Tuyển Sinh Lớp 10 Môn Toán

Đề tuyển sinh lớp 10 môn Toán (chuyên) năm 2021 – 2022 sở GD&ĐT Bình Phước

05/07/2021

Đề Thi Tuyển Sinh Lớp 10 Môn Toán

Đề thi vào 10 môn Toán (chuyên Toán – Tin) năm 2021 – 2022 sở GD&ĐT Bình Định

05/07/2021

Đề Thi Tuyển Sinh Lớp 10 Môn Toán

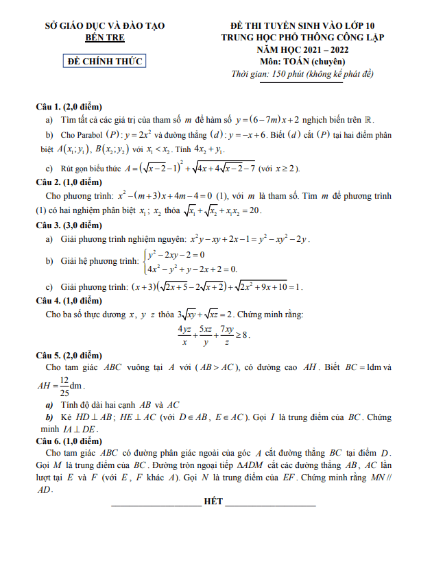
Đề tuyển sinh lớp 10 môn Toán (chuyên) năm 2021 – 2022 sở GD&ĐT Bến Tre

05/07/2021

Đề Thi Tuyển Sinh Lớp 10 Môn Toán

Đề thi tuyển sinh vào lớp 10 môn Toán năm 2021 – 2022 sở GD&ĐT Yên Bái

05/07/2021

Đề Thi Tuyển Sinh Lớp 10 Môn Toán

Đề tuyển sinh vào lớp 10 môn Toán năm 2021 – 2022 sở GD&ĐT Vĩnh Phúc

05/07/2021

Đề Thi Tuyển Sinh Lớp 10 Môn Toán

Đề thi tuyển sinh lớp 10 môn Toán năm 2021 – 2022 sở GD&ĐT Tuyên Quang

05/07/2021

Đề Thi Tuyển Sinh Lớp 10 Môn Toán

Đề tuyển sinh lớp 10 môn Toán năm 2021 – 2022 sở GD&ĐT Tiền Giang

05/07/2021

Đề Thi Tuyển Sinh Lớp 10 Môn Toán

Đề tuyển sinh lớp 10 môn Toán năm 2021 – 2022 sở GD&ĐT Thái Nguyên

05/07/2021

Đề Thi Tuyển Sinh Lớp 10 Môn Toán

Đề thi tuyển sinh lớp 10 môn Toán năm 2021 – 2022 sở GD&ĐT Sơn La

05/07/2021

Đề Thi Tuyển Sinh Lớp 10 Môn Toán

Đề tuyển sinh lớp 10 THPT môn Toán năm 2021 – 2022 sở GD&ĐT Sóc Trăng

05/07/2021

Đề Thi Tuyển Sinh Lớp 10 Môn Toán

Đề thi tuyển sinh lớp 10 môn Toán năm 2021 – 2022 sở GD&ĐT Phú Yên

05/07/2021

Đề Thi Tuyển Sinh Lớp 10 Môn Toán

Đề thi tuyển sinh vào lớp 10 môn Toán năm 2021 – 2022 sở GD&ĐT Phú Thọ

05/07/2021

Đề Thi Tuyển Sinh Lớp 10 Môn Toán

Đề tuyển sinh lớp 10 môn Toán năm 2021 – 2022 sở GD&ĐT Ninh Thuận

05/07/2021

Phân trang bài viết

« 1 … 42 43 44 … 65 »

TÌM KIẾM THEO TỪ KHÓA

TÀI LIỆU MỚI NHẤT

  • Đề KSCL Toán 9 năm 2025 – 2026 trường THPT chuyên Hà Nội – Amsterdam
    28/04/2026
  • Đề cuối học kì 2 Toán 9 năm 2025 – 2026 trường THCS Lê Hồng Phong – Hà Nội
    28/04/2026
  • Đề học kỳ 2 Toán 8 năm 2025 – 2026 trường Lương Thế Vinh – Hà Nội
    28/04/2026
  • Đề thi thử Toán vào lớp 10 lần 2 năm 2026 – 2027 trường Lương Ngọc Quyến – Thái Nguyên
    28/04/2026
  • Đề thi thử vào lớp 10 môn Toán lần 3 năm 2026 trường THCS Hồng Bàng – Hải Phòng
    28/04/2026
  • Đề học kì 2 Toán 7 năm 2025 – 2026 trường THCS Nguyễn Du – Hà Nội
    28/04/2026

THEO DÕI TRÊN FACEBOOK

  • Facebook
  • Giới thiệu
  • Chính sách bảo mật
  • Liên hệ

Copyright © 2026 | THCS.TOANMATH.com