THCS.TOANMATH.com

Tài liệu và đề thi Toán THCS miễn phí

  • Toán 6
    • Tài liệu Toán 6
    • Đề Cương Toán 6
    • Đề giữa HK1 Toán 6
    • Đề HK1 Toán 6
    • Đề giữa HK2 Toán 6
    • Đề HK2 Toán 6
    • Đề khảo sát Toán 6
    • Đề HSG Toán 6
  • Toán 7
    • Tài liệu Toán 7
    • Đề Cương Toán 7
    • Đề giữa HK1 Toán 7
    • Đề HK1 Toán 7
    • Đề giữa HK2 Toán 7
    • Đề HK2 Toán 7
    • Đề khảo sát Toán 7
    • Đề HSG Toán 7
  • Toán 8
    • Tài liệu Toán 8
    • Đề Cương Toán 8
    • Đề giữa HK1 Toán 8
    • Đề HK1 Toán 8
    • Đề giữa HK2 Toán 8
    • Đề HK2 Toán 8
    • Đề khảo sát Toán 8
    • Đề HSG Toán 8
  • Toán 9
    • Tài liệu Toán 9
    • Đề Cương Toán 9
    • Đề giữa HK1 Toán 9
    • Đề HK1 Toán 9
    • Đề giữa HK2 Toán 9
    • Đề HK2 Toán 9
    • Đề khảo sát Toán 9
    • Đề HSG Toán 9
  • Thi vào lớp 10
    • Đề thi vào lớp 10
    • Tài liệu thi vào lớp 10
  • SGK-SBT
    • Sách Giáo Khoa THPT
    • Sách Giáo Khoa THCS
  • Toán THPT

Khảo Sát Chất Lượng Toán 9

Tổng hợp ĐỀ THI KHẢO SÁT CHẤT LƯỢNG TOÁN 9 của các trường Trung học Cơ sở, các Phòng Giáo dục và Đào tạo, các Sở Giáo dục và Đào tạo trên toàn quốc, có đáp án và lời giải chi tiết (định dạng PDF + WORD), hỗ trợ học sinh lớp 9 trong quá trình ôn tập chuẩn bị cho các kỳ thi: kiểm tra chất lượng đầu năm Toán 9; kiểm tra chất lượng cuối năm Toán 9; kiểm tra chất lượng định kỳ Toán 9.

Quý thầy, cô giáo và bạn đọc có thể chia sẻ thêm ĐỀ THI KHẢO SÁT CHẤT LƯỢNG TOÁN 9 bằng cách gửi về địa chỉ email: toanmath.com@gmail.com, nhằm tạo nguồn đề thi phong phú, đa dạng để các em học sinh lớp 9 tham khảo và rèn luyện.

Khảo Sát Chất Lượng Toán 9

Đề kiểm tra Toán 9 lần 3 năm 2021 – 2022 phòng GD&ĐT Vĩnh Yên – Vĩnh Phúc

13/05/2022

Khảo Sát Chất Lượng Toán 9

Đề khảo sát Toán 9 năm 2021 – 2022 phòng GD&ĐT Thạch Thất – Hà Nội

13/05/2022

Khảo Sát Chất Lượng Toán 9

Đề KSCL Toán 9 năm 2021 – 2022 trường THCS Cầu Giấy – Hà Nội

13/05/2022

Khảo Sát Chất Lượng Toán 9

Đề khảo sát Toán 9 năm 2021 – 2022 phòng GD&ĐT Nam Từ Liêm – Hà Nội

12/05/2022

Khảo Sát Chất Lượng Toán 9

Đề khảo sát Toán 9 năm 2021 – 2022 trường THCS Nguyễn Du – Hà Nội

08/05/2022

Khảo Sát Chất Lượng Toán 9

Đề thi khảo sát Toán 9 năm 2021 – 2022 phòng GD&ĐT Thanh Trì – Hà Nội

08/05/2022

Khảo Sát Chất Lượng Toán 9

Đề KSCL Toán 9 cuối năm 2021 – 2022 phòng GD&ĐT thành phố Vinh – Nghệ An

07/05/2022

Khảo Sát Chất Lượng Toán 9

Đề khảo sát chất lượng Toán 9 năm 2021 – 2022 phòng GD&ĐT Long Biên – Hà Nội

07/05/2022

Khảo Sát Chất Lượng Toán 9

Đề khảo sát lần 2 Toán 9 năm 2021 – 2022 trường chuyên Hà Nội – Amsterdam

07/05/2022

Khảo Sát Chất Lượng Toán 9

Đề khảo sát chất lượng Toán 9 năm 2021 – 2022 sở GD&ĐT Thanh Hóa

27/04/2022

Khảo Sát Chất Lượng Toán 9

Đề rà soát chất lượng Toán 9 năm 2021 – 2022 phòng GD&ĐT Ba Vì – Hà Nội

23/04/2022

Khảo Sát Chất Lượng Toán 9

Đề KSCL Toán 9 lần 1 năm 2021 – 2022 phòng GD&ĐT Mê Linh – Hà Nội

19/04/2022

Khảo Sát Chất Lượng Toán 9

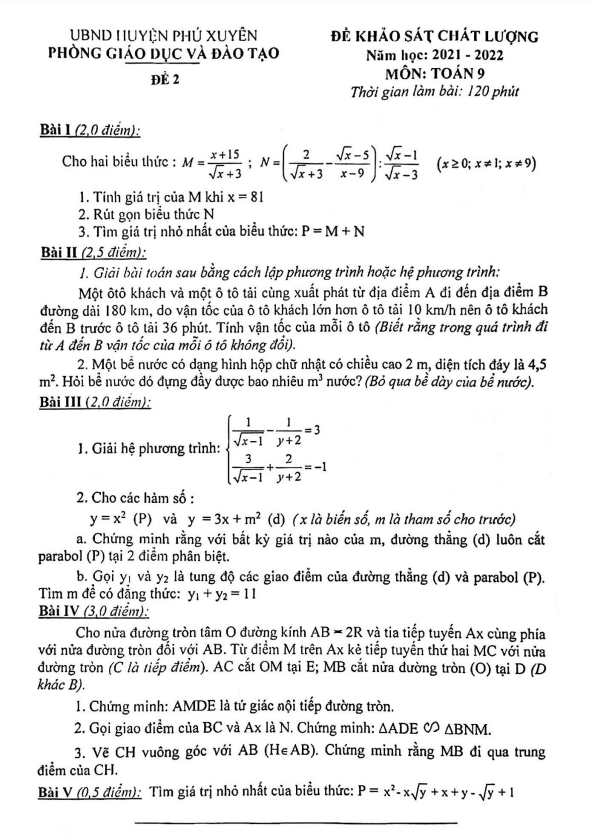
Đề KSCL Toán 9 năm 2021 – 2022 phòng GD&ĐT Phú Xuyên – Hà Nội

16/04/2022

Khảo Sát Chất Lượng Toán 9

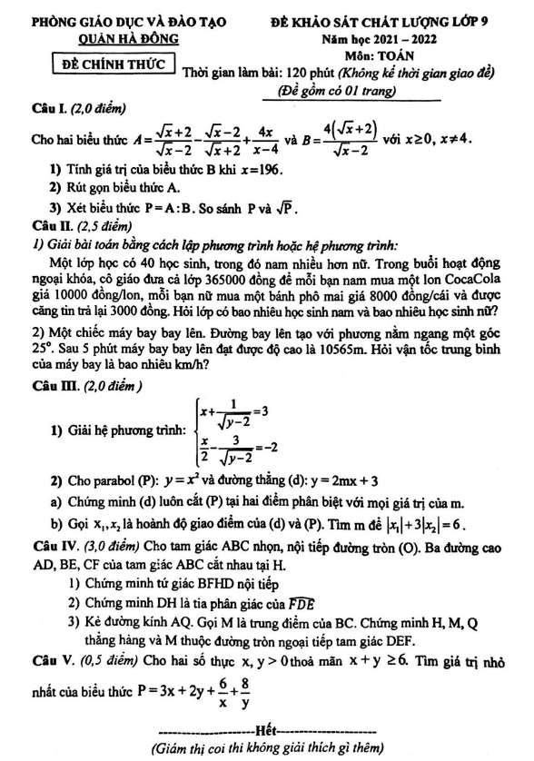
Đề khảo sát chất lượng Toán 9 năm 2021 – 2022 phòng GD&ĐT Hà Đông – Hà Nội

14/04/2022

Khảo Sát Chất Lượng Toán 9

Đề khảo sát Toán 9 năm 2021 – 2022 trường THCS Nam Trung Yên – Hà Nội

14/04/2022

Khảo Sát Chất Lượng Toán 9

Đề khảo sát Toán 9 năm 2021 – 2022 phòng GD&ĐT Thanh Xuân – Hà Nội

07/04/2022

Khảo Sát Chất Lượng Toán 9

Đề khảo sát chất lượng Toán 9 năm 2021 – 2022 trường chuyên Hà Nội – Amsterdam

03/04/2022

Khảo Sát Chất Lượng Toán 9

Đề kiểm tra Toán 9 đợt 1 năm 2021 – 2022 phòng GD&ĐT Quảng Trạch – Quảng Bình

31/03/2022

Khảo Sát Chất Lượng Toán 9

Đề khảo sát Toán 9 tháng 02 năm 2022 trường THCS Thanh Xuân Trung – Hà Nội

27/02/2022

Khảo Sát Chất Lượng Toán 9

Đề khảo sát chất lượng Toán 9 năm 2021 – 2022 trường THCS Lê Ngọc Hân – Hà Nội

21/02/2022

Phân trang bài viết

« 1 … 21 22 23 … 28 »

TÌM KIẾM THEO TỪ KHÓA

TÀI LIỆU MỚI NHẤT

  • Đề thi thử vào lớp 10 môn Toán tháng 4 năm 2026 phường Tây Tựu – Hà Nội
    26/04/2026
  • Đề cuối kỳ 2 Toán 8 năm 2025 – 2026 trường THCS Thanh Đa – TP HCM
    26/04/2026
  • Đề khảo sát Toán 9 lần 2 năm 2025 – 2026 trường THCS Tản Hồng – Hà Nội
    26/04/2026
  • Đề tham khảo tuyển sinh lớp 10 môn Toán năm 2026 – 2027 sở GD&ĐT Cần Thơ
    26/04/2026
  • Đề Olympic Toán THCS lần 2 năm 2025 – 2026 trường chuyên Nguyễn Trãi – Hải Phòng
    25/04/2026
  • Đề khảo sát Toán 9 lần 1 năm 2025 – 2026 trường Thống Nhất – Thanh Hóa
    25/04/2026

THEO DÕI TRÊN FACEBOOK

  • Facebook
  • Giới thiệu
  • Chính sách bảo mật
  • Liên hệ

Copyright © 2026 | THCS.TOANMATH.com