THCS.TOANMATH.com

Tài liệu và đề thi Toán THCS miễn phí

  • Toán 6
    • Tài liệu Toán 6
    • Đề Cương Toán 6
    • Đề giữa HK1 Toán 6
    • Đề HK1 Toán 6
    • Đề giữa HK2 Toán 6
    • Đề HK2 Toán 6
    • Đề khảo sát Toán 6
    • Đề HSG Toán 6
  • Toán 7
    • Tài liệu Toán 7
    • Đề Cương Toán 7
    • Đề giữa HK1 Toán 7
    • Đề HK1 Toán 7
    • Đề giữa HK2 Toán 7
    • Đề HK2 Toán 7
    • Đề khảo sát Toán 7
    • Đề HSG Toán 7
  • Toán 8
    • Tài liệu Toán 8
    • Đề Cương Toán 8
    • Đề giữa HK1 Toán 8
    • Đề HK1 Toán 8
    • Đề giữa HK2 Toán 8
    • Đề HK2 Toán 8
    • Đề khảo sát Toán 8
    • Đề HSG Toán 8
  • Toán 9
    • Tài liệu Toán 9
    • Đề Cương Toán 9
    • Đề giữa HK1 Toán 9
    • Đề HK1 Toán 9
    • Đề giữa HK2 Toán 9
    • Đề HK2 Toán 9
    • Đề khảo sát Toán 9
    • Đề HSG Toán 9
  • Thi vào lớp 10
    • Đề thi vào lớp 10
    • Tài liệu thi vào lớp 10
  • SGK-SBT
    • Sách Giáo Khoa THPT
    • Sách Giáo Khoa THCS
  • Toán THPT

Tháng: Tháng 5 2019

Đề Thi Tuyển Sinh Lớp 10 Môn Toán

Đề Toán tuyển sinh lớp 10 năm 2019 trường chuyên ĐHSP Hà Nội (Đề chung)

29/05/2019

Đề Thi Tuyển Sinh Lớp 10 Môn Toán

Đề Toán tuyển sinh lớp 10 năm 2019 trường PTNK – TP HCM (Vòng 2)

28/05/2019

Đề Thi Tuyển Sinh Lớp 10 Môn Toán

Đề Toán tuyển sinh lớp 10 năm 2019 trường chuyên KHTN – Hà Nội (Vòng 2)

27/05/2019

Đề Thi Tuyển Sinh Lớp 10 Môn Toán

Đề Toán tuyển sinh lớp 10 năm 2019 – 2020 trường chuyên Thái Bình (Vòng 2)

27/05/2019

Đề Thi Tuyển Sinh Lớp 10 Môn Toán

Đề Toán tuyển sinh vào lớp 10 năm 2019 trường THPT chuyên KHTN – Hà Nội

27/05/2019

Đề Thi Tuyển Sinh Lớp 10 Môn Toán

Đề Toán tuyển sinh lớp 10 năm 2019 – 2020 trường Phổ thông Năng khiếu – TP HCM

25/05/2019

Đề Thi Tuyển Sinh Lớp 10 Môn Toán

Đề thi thử vào 10 môn Toán năm 2019 trường THCS Tân Mai – Hà Nội

24/05/2019

Khảo Sát Chất Lượng Toán 9

Đề KSCL Toán 9 năm 2018 – 2019 trường THCS Nguyễn Du – Hà Nội

24/05/2019

Đề Thi Tuyển Sinh Lớp 10 Môn Toán

Đề Toán tuyển sinh vào 10 chuyên năm 2019 – 2020 sở GD&ĐT Hưng Yên

24/05/2019

Đề Thi Tuyển Sinh Lớp 10 Môn Toán

Đề thi thử Toán vào lớp 10 năm 2019 – 2020 trường Lương Thế Vinh – Hà Nội lần 4

20/05/2019

Đề Thi Tuyển Sinh Lớp 10 Môn Toán

Đề thi thử tuyển sinh lớp 10 môn Toán năm 2019 trường THPT Uông Bí – Quảng Ninh

20/05/2019

Đề Thi Tuyển Sinh Lớp 10 Môn Toán

Đề thi thử vào 10 lần 2 năm 2019 – 2020 môn Toán phòng GD&ĐT Dương Kinh – Hải Phòng

19/05/2019

Đề Thi Tuyển Sinh Lớp 10 Môn Toán

Đề thi thử Toán tuyển sinh 10 năm 2019 – 2020 phòng GD&ĐT Lục Nam – Bắc Giang

17/05/2019

Đề Thi Tuyển Sinh Lớp 10 Môn Toán

Khảo sát Toán tuyển sinh lớp 10 năm 2019 – 2020 trường Trương Công Định – Hải Phòng

17/05/2019

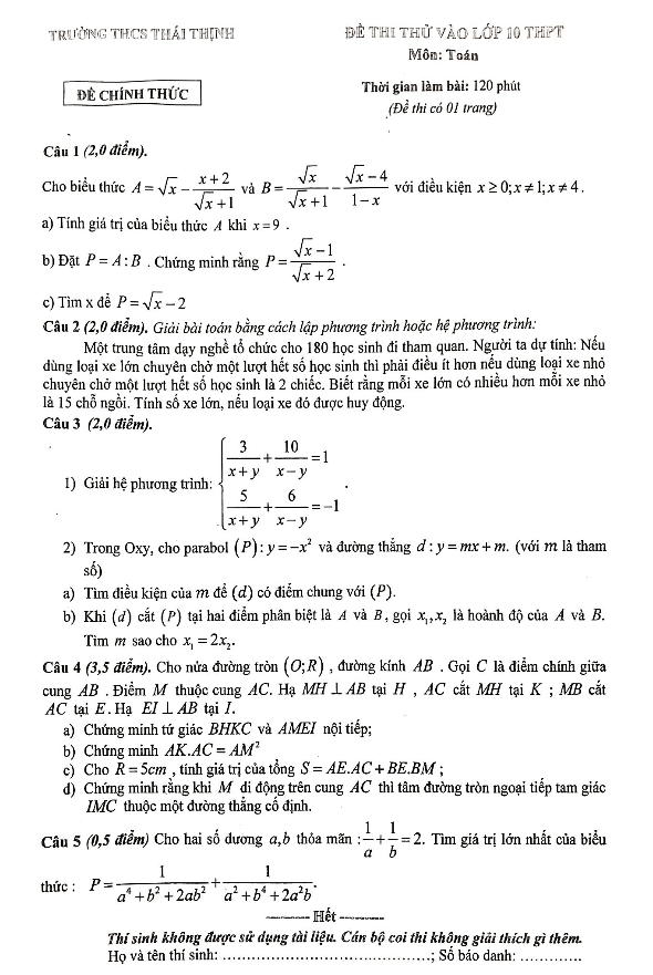
Đề Thi Tuyển Sinh Lớp 10 Môn Toán

Đề thi thử Toán vào lớp 10 THPT năm 2019 trường THCS Thái Thịnh – Hà Nội

15/05/2019

Khảo Sát Chất Lượng Toán 9

Đề thi thử Toán 9 năm 2019 trường THPT chuyên KHTN – Hà Nội (Vòng 2 – Đợt 4)

15/05/2019

Đề Thi HK2 Toán 7

Đề thi học kì 2 Toán 7 năm học 2018 – 2019 sở GD&ĐT Bắc Giang

15/05/2019

Đề Thi HK2 Toán 6

Đề thi học kì 2 Toán 6 năm học 2018 – 2019 sở GD&ĐT Bắc Giang

15/05/2019

Đề Thi HK2 Toán 7

Đề thi HK2 Toán 7 năm 2018 – 2019 phòng GD&ĐT Mộ Đức – Quảng Ngãi

15/05/2019

Đề Thi HK2 Toán 6

Đề thi HK2 Toán 6 năm 2018 – 2019 phòng GD&ĐT Mộ Đức – Quảng Ngãi

15/05/2019

Phân trang bài viết

1 2 3 »

TÌM KIẾM THEO TỪ KHÓA

TÀI LIỆU MỚI NHẤT

  • Đề khảo sát Toán 9 lần 2 năm 2025 – 2026 sở GD&ĐT Ninh Bình
    18/04/2026
  • Đề cương cuối kỳ 2 Toán 6 năm 2025 – 2026 trường THCS Dương Văn Mạnh – TP HCM
    18/04/2026
  • Đề cương cuối kỳ 2 Toán 7 năm 2025 – 2026 trường THCS Dương Văn Mạnh – TP HCM
    18/04/2026
  • Đề cương cuối kỳ 2 Toán 8 năm 2025 – 2026 trường THCS Dương Văn Mạnh – TP HCM
    18/04/2026
  • Đề cương cuối kỳ 2 Toán 9 năm 2025 – 2026 trường THCS Dương Văn Mạnh – TP HCM
    18/04/2026
  • Đề giao lưu HSG Toán 6 năm 2025 – 2026 xã Quảng Ngọc – Thanh Hóa
    17/04/2026

THEO DÕI TRÊN FACEBOOK

  • Facebook
  • Giới thiệu
  • Chính sách bảo mật
  • Liên hệ

Copyright © 2026 | THCS.TOANMATH.com