THCS.TOANMATH.com

Tài liệu và đề thi Toán THCS miễn phí

  • Toán 6
    • Tài liệu Toán 6
    • Đề Cương Toán 6
    • Đề giữa HK1 Toán 6
    • Đề HK1 Toán 6
    • Đề giữa HK2 Toán 6
    • Đề HK2 Toán 6
    • Đề khảo sát Toán 6
    • Đề HSG Toán 6
  • Toán 7
    • Tài liệu Toán 7
    • Đề Cương Toán 7
    • Đề giữa HK1 Toán 7
    • Đề HK1 Toán 7
    • Đề giữa HK2 Toán 7
    • Đề HK2 Toán 7
    • Đề khảo sát Toán 7
    • Đề HSG Toán 7
  • Toán 8
    • Tài liệu Toán 8
    • Đề Cương Toán 8
    • Đề giữa HK1 Toán 8
    • Đề HK1 Toán 8
    • Đề giữa HK2 Toán 8
    • Đề HK2 Toán 8
    • Đề khảo sát Toán 8
    • Đề HSG Toán 8
  • Toán 9
    • Tài liệu Toán 9
    • Đề Cương Toán 9
    • Đề giữa HK1 Toán 9
    • Đề HK1 Toán 9
    • Đề giữa HK2 Toán 9
    • Đề HK2 Toán 9
    • Đề khảo sát Toán 9
    • Đề HSG Toán 9
  • Thi vào lớp 10
    • Đề thi vào lớp 10
    • Tài liệu thi vào lớp 10
  • SGK-SBT
    • Sách Giáo Khoa THPT
    • Sách Giáo Khoa THCS
  • Toán THPT

Đề Thi Tuyển Sinh Lớp 10 Môn Toán

Tuyển chọn ĐỀ THI TUYỂN SINH LỚP 10 MÔN TOÁN (đề thi chính thức / đề thi tham khảo) có đáp án và lời giải chi tiết từ các trường Trung học Cơ sở, Trung học Phổ thông, các Phòng Giáo dục và Đào tạo, Sở Giáo dục và Đào tạo trên toàn quốc (định dạng PDF + WORD).

Các ĐỀ THI TUYỂN SINH LỚP 10 MÔN TOÁN sẽ giúp các em học sinh lớp 9 thử sức, rèn luyện kiến thức, để đánh giá đúng năng lực bản thân, nắm vững được các dạng bài thường xuất hiện trong đề thi, từ đó vạch ra chiến lược ôn thi hiệu quả, đạt kết quả tốt nhất và trúng tuyển vào lớp 10 các trường Trung học Phổ thông mà bản thân các em mong muốn.

Đề Thi Tuyển Sinh Lớp 10 Môn Toán

Đề thi thử Toán vào lớp 10 lần 2 năm 2023 – 2024 trường THPT Sơn Tây – Hà Nội

08/05/2023

Đề Thi Tuyển Sinh Lớp 10 Môn Toán

Đề thi thử Toán vào 10 lần 1 năm 2023 – 2024 phòng GD&ĐT Quốc Oai – Hà Nội

04/05/2023

Đề Thi Tuyển Sinh Lớp 10 Môn Toán

Đề thi thử Toán vào lớp 10 năm 2023 – 2024 phòng GD&ĐT Nam Đàn – Nghệ An

04/05/2023

Đề Thi Tuyển Sinh Lớp 10 Môn Toán

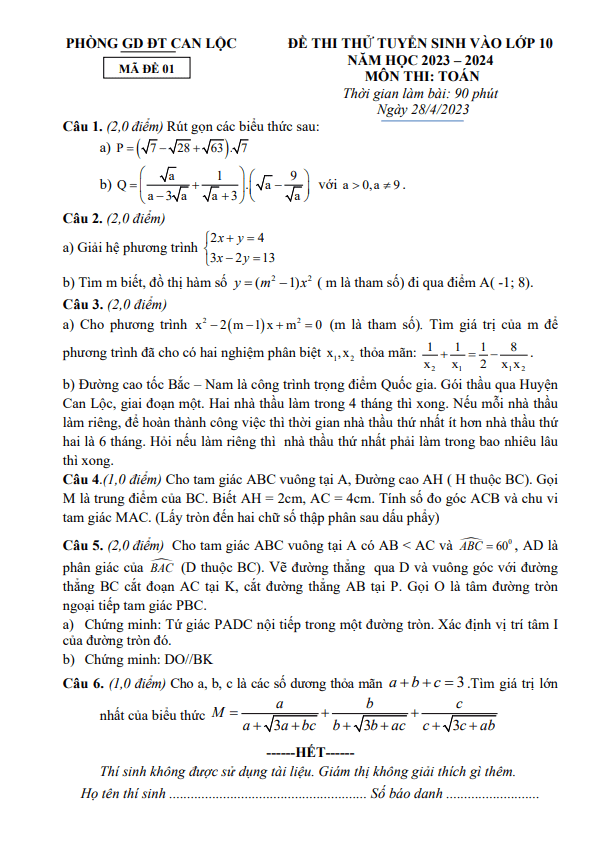
Đề thi thử Toán vào lớp 10 năm 2023 – 2024 phòng GD&ĐT Can Lộc – Hà Tĩnh

04/05/2023

Đề Thi Tuyển Sinh Lớp 10 Môn Toán

Đề thi thử Toán vào lớp 10 năm 2023 – 2024 phòng GD&ĐT Nghi Lộc – Nghệ An

04/05/2023

Đề Thi Tuyển Sinh Lớp 10 Môn Toán

Đề KSCL Toán vào lớp 10 năm 2023 – 2024 phòng GD&ĐT thành phố Bắc Ninh

27/04/2023

Đề Thi Tuyển Sinh Lớp 10 Môn Toán

Đề thi thử Toán vào lớp 10 năm 2023 – 2024 phòng GD&ĐT Anh Sơn – Nghệ An

27/04/2023

Đề Thi Tuyển Sinh Lớp 10 Môn Toán

Đề thi thử Toán vào lớp 10 năm 2023 – 2024 phòng GD&ĐT Ngô Quyền – Hải Phòng

26/04/2023

Đề Thi Tuyển Sinh Lớp 10 Môn Toán

Đề thi thử vào 10 chuyên 2023 lần 2 Toán chung trường THPT chuyên ĐHSP Hà Nội

25/04/2023

Đề Thi Tuyển Sinh Lớp 10 Môn Toán

Đề khảo sát Toán vào 10 lần 2 năm 2023 – 2024 phòng GD&ĐT Hoằng Hóa – Thanh Hóa

24/04/2023

Đề Thi Tuyển Sinh Lớp 10 Môn Toán

Đề thi thử Toán vào 10 lần 1 năm 2023 – 2024 phòng GD&ĐT Thủy Nguyên – Hải Phòng

24/04/2023

Đề Thi Tuyển Sinh Lớp 10 Môn Toán

Đề thi thử Toán vào lớp 10 năm 2023 – 2024 phòng GD&ĐT Thạch Hà – Hà Tĩnh

23/04/2023

Đề Thi Tuyển Sinh Lớp 10 Môn Toán

Đề giao lưu Toán vào lớp 10 năm 2023 trường THPT Quảng Xương 1 – Thanh Hoá

23/04/2023

Đề Thi Tuyển Sinh Lớp 10 Môn Toán

Đề thi thử Toán vào lớp 10 năm 2023 – 2024 trường THCS Nguyễn Trãi – Hà Tĩnh

22/04/2023

Đề Thi Tuyển Sinh Lớp 10 Môn Toán

Đề thi thử Toán vào lớp 10 năm 2023 trường THCS Kim Giang – Hà Nội

20/04/2023

Đề Thi Tuyển Sinh Lớp 10 Môn Toán

Đề thi thử Toán vào lớp 10 năm 2023 – 2024 phòng GD&ĐT Lục Ngạn – Bắc Giang

19/04/2023

Đề Thi Tuyển Sinh Lớp 10 Môn Toán

Đề thi thử Toán vào lớp 10 năm 2023 phòng GD&ĐT Sơn Động – Bắc Giang

19/04/2023

Đề Thi Tuyển Sinh Lớp 10 Môn Toán

Đề khảo sát Toán (chuyên) vào lớp 10 năm 2023 – 2024 trường THPT chuyên Thái Nguyên

19/04/2023

Đề Thi Tuyển Sinh Lớp 10 Môn Toán

Đề khảo sát Toán (Tin) vào lớp 10 năm 2023 – 2024 trường THPT chuyên Thái Nguyên

19/04/2023

Đề Thi Tuyển Sinh Lớp 10 Môn Toán

Bộ đề trắc nghiệm ôn thi tuyển sinh vào lớp 10 THPT môn Toán

18/04/2023

Phân trang bài viết

« 1 … 30 31 32 … 65 »

TÌM KIẾM THEO TỪ KHÓA

TÀI LIỆU MỚI NHẤT

  • Đề KSCL Toán 9 năm 2025 – 2026 trường THPT chuyên Hà Nội – Amsterdam
    28/04/2026
  • Đề cuối học kì 2 Toán 9 năm 2025 – 2026 trường THCS Lê Hồng Phong – Hà Nội
    28/04/2026
  • Đề học kỳ 2 Toán 8 năm 2025 – 2026 trường Lương Thế Vinh – Hà Nội
    28/04/2026
  • Đề thi thử Toán vào lớp 10 lần 2 năm 2026 – 2027 trường Lương Ngọc Quyến – Thái Nguyên
    28/04/2026
  • Đề thi thử vào lớp 10 môn Toán lần 3 năm 2026 trường THCS Hồng Bàng – Hải Phòng
    28/04/2026
  • Đề học kì 2 Toán 7 năm 2025 – 2026 trường THCS Nguyễn Du – Hà Nội
    28/04/2026

THEO DÕI TRÊN FACEBOOK

  • Facebook
  • Giới thiệu
  • Chính sách bảo mật
  • Liên hệ

Copyright © 2026 | THCS.TOANMATH.com