THCS.TOANMATH.com

Tài liệu và đề thi Toán THCS miễn phí

  • Toán 6
    • Tài liệu Toán 6
    • Đề Cương Toán 6
    • Đề giữa HK1 Toán 6
    • Đề HK1 Toán 6
    • Đề giữa HK2 Toán 6
    • Đề HK2 Toán 6
    • Đề khảo sát Toán 6
    • Đề HSG Toán 6
  • Toán 7
    • Tài liệu Toán 7
    • Đề Cương Toán 7
    • Đề giữa HK1 Toán 7
    • Đề HK1 Toán 7
    • Đề giữa HK2 Toán 7
    • Đề HK2 Toán 7
    • Đề khảo sát Toán 7
    • Đề HSG Toán 7
  • Toán 8
    • Tài liệu Toán 8
    • Đề Cương Toán 8
    • Đề giữa HK1 Toán 8
    • Đề HK1 Toán 8
    • Đề giữa HK2 Toán 8
    • Đề HK2 Toán 8
    • Đề khảo sát Toán 8
    • Đề HSG Toán 8
  • Toán 9
    • Tài liệu Toán 9
    • Đề Cương Toán 9
    • Đề giữa HK1 Toán 9
    • Đề HK1 Toán 9
    • Đề giữa HK2 Toán 9
    • Đề HK2 Toán 9
    • Đề khảo sát Toán 9
    • Đề HSG Toán 9
  • Thi vào lớp 10
    • Đề thi vào lớp 10
    • Tài liệu thi vào lớp 10
  • SGK-SBT
    • Sách Giáo Khoa THPT
    • Sách Giáo Khoa THCS
  • Toán THPT

Đề Cương Ôn Tập Toán 8

Tổng hợp ĐỀ CƯƠNG ÔN TẬP TOÁN 8 hướng dẫn nội dung ôn tập kiểm tra giữa học kì 1 / cuối học kì 1 / giữa học kì 2 / cuối học kì 2 môn Toán 8 (định dạng PDF + WORD), có đáp án và lời giải chi tiết.

Các ĐỀ CƯƠNG ÔN TẬP TOÁN 8 được biên soạn phù hợp với chương trình sách giáo khoa Toán 8: Cánh Diều, Chân Trời Sáng Tạo, Kết Nối Tri Thức Với Cuộc Sống.

Đề Cương Ôn Tập Toán 8

Đề cương giữa học kì 1 Toán 8 năm 2023 – 2024 trường THCS Nghĩa Tân – Hà Nội

31/10/2023

Đề Cương Ôn Tập Toán 8

Đề cương giữa kỳ 1 Toán 8 năm 2023 – 2024 trường THCS Dương Nội – Hà Nội

26/10/2023

Đề Cương Ôn Tập Toán 8

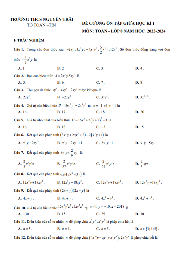
Đề cương giữa học kì 1 Toán 8 năm 2023 – 2024 trường THCS Nguyễn Trãi – Quảng Trị

20/10/2023

Đề Cương Ôn Tập Toán 8

Ôn tập giữa học kì 1 Toán 8 năm 2023 – 2024 trường THCS Nhật Tân – Hà Nội

18/10/2023

Đề Cương Ôn Tập Toán 8

Đề cương giữa học kì 1 Toán 8 năm 2023 – 2024 trường THCS Thắng Nhì – BR VT

18/10/2023

Đề Cương Ôn Tập Toán 8

Ôn tập giữa học kỳ 1 Toán 8 năm 2023 – 2024 trường THCS Ngọc Lâm – Hà Nội

15/10/2023

Đề Cương Ôn Tập Toán 8

Đề cương giữa học kì 1 Toán 8 năm 2023 – 2024 trường THCS Thăng Long – Hà Nội

14/10/2023

Đề Cương Ôn Tập Toán 8

Ôn tập giữa học kỳ 1 Toán 8 năm 2023 – 2024 trường THCS Chu Văn An – Hà Nội

12/10/2023

Đề Cương Ôn Tập Toán 8

Đề cương giữa kì 1 Toán 8 năm 2023 – 2024 trường Archimedes Đông Anh – Hà Nội

10/10/2023

Đề Cương Ôn Tập Toán 8

Đề cương giữa kì 1 Toán 8 năm 2023 – 2024 trường THCS Trọng Điểm – Quảng Ninh

05/10/2023

Đề Cương Ôn Tập Toán 8

Đề cương HK2 Toán 8 năm 2022 – 2023 trường PT Thực hành Sư phạm – Đồng Nai

17/04/2023

Đề Cương Ôn Tập Toán 8

Đề cương ôn tập cuối kì 2 Toán 8 năm 2022 – 2023 trường THCS Ngọc Lâm – Hà Nội

13/04/2023

Đề Cương Ôn Tập Toán 8

Đề cương học kỳ 2 Toán 8 năm 2022 – 2023 trường THCS Long Toàn – BR VT

13/04/2023

Đề Cương Ôn Tập Toán 8

Đề cương học kì 2 Toán 8 năm 2022 – 2023 trường THCS Nguyễn Du – Hà Nội

13/04/2023

Đề Cương Ôn Tập Toán 8

Đề cương HK2 Toán 8 năm 2022 – 2023 trường THCS Hoàng Hoa Thám – Hà Nội

11/04/2023

Đề Cương Ôn Tập Toán 8

Đề cương học kỳ 2 Toán 8 năm 2022 – 2023 trường THCS Giảng Võ – Hà Nội

11/04/2023

Đề Cương Ôn Tập Toán 8

Đề cương học kỳ 2 Toán 8 năm 2022 – 2023 trường THCS Thăng Long – Hà Nội

01/04/2023

Đề Cương Ôn Tập Toán 8

Đề cương giữa kì 2 Toán 8 năm 2022 – 2023 trường THCS Dịch Vọng Hậu – Hà Nội

10/03/2023

Đề Cương Ôn Tập Toán 8

Đề cương giữa kì 2 Toán 8 năm 2022 – 2023 trường THCS Long Toàn – BR VT

04/03/2023

Đề Cương Ôn Tập Toán 8

Đề cương giữa học kì 2 Toán 8 năm 2022 – 2023 trường THCS Nghĩa Tân – Hà Nội

23/02/2023

Phân trang bài viết

« 1 … 7 8 9 10 »

TÌM KIẾM THEO TỪ KHÓA

TÀI LIỆU MỚI NHẤT

  • Đề thi thử vào lớp 10 môn Toán tháng 4 năm 2026 phường Tây Tựu – Hà Nội
    26/04/2026
  • Đề cuối kỳ 2 Toán 8 năm 2025 – 2026 trường THCS Thanh Đa – TP HCM
    26/04/2026
  • Đề khảo sát Toán 9 lần 2 năm 2025 – 2026 trường THCS Tản Hồng – Hà Nội
    26/04/2026
  • Đề tham khảo tuyển sinh lớp 10 môn Toán năm 2026 – 2027 sở GD&ĐT Cần Thơ
    26/04/2026
  • Đề Olympic Toán THCS lần 2 năm 2025 – 2026 trường chuyên Nguyễn Trãi – Hải Phòng
    25/04/2026
  • Đề khảo sát Toán 9 lần 1 năm 2025 – 2026 trường Thống Nhất – Thanh Hóa
    25/04/2026

THEO DÕI TRÊN FACEBOOK

  • Facebook
  • Giới thiệu
  • Chính sách bảo mật
  • Liên hệ

Copyright © 2026 | THCS.TOANMATH.com