THCS.TOANMATH.com

Tài liệu và đề thi Toán THCS miễn phí

  • Toán 6
    • Tài liệu Toán 6
    • Đề Cương Toán 6
    • Đề giữa HK1 Toán 6
    • Đề HK1 Toán 6
    • Đề giữa HK2 Toán 6
    • Đề HK2 Toán 6
    • Đề khảo sát Toán 6
    • Đề HSG Toán 6
  • Toán 7
    • Tài liệu Toán 7
    • Đề Cương Toán 7
    • Đề giữa HK1 Toán 7
    • Đề HK1 Toán 7
    • Đề giữa HK2 Toán 7
    • Đề HK2 Toán 7
    • Đề khảo sát Toán 7
    • Đề HSG Toán 7
  • Toán 8
    • Tài liệu Toán 8
    • Đề Cương Toán 8
    • Đề giữa HK1 Toán 8
    • Đề HK1 Toán 8
    • Đề giữa HK2 Toán 8
    • Đề HK2 Toán 8
    • Đề khảo sát Toán 8
    • Đề HSG Toán 8
  • Toán 9
    • Tài liệu Toán 9
    • Đề Cương Toán 9
    • Đề giữa HK1 Toán 9
    • Đề HK1 Toán 9
    • Đề giữa HK2 Toán 9
    • Đề HK2 Toán 9
    • Đề khảo sát Toán 9
    • Đề HSG Toán 9
  • Thi vào lớp 10
    • Đề thi vào lớp 10
    • Tài liệu thi vào lớp 10
  • SGK-SBT
    • Sách Giáo Khoa THPT
    • Sách Giáo Khoa THCS
  • Toán THPT

Tháng: Tháng 9 2019

Đề Thi Tuyển Sinh Lớp 10 Môn Toán

Đề tuyển sinh lớp 10 THPT năm 2019 – 2020 môn Toán sở GD&ĐT Thừa Thiên Huế

22/09/2019

Đề Thi Tuyển Sinh Lớp 10 Môn Toán

Đề tuyển sinh lớp 10 THPT năm 2019 – 2020 môn Toán sở GD&ĐT Phú Thọ

22/09/2019

Đề Thi Tuyển Sinh Lớp 10 Môn Toán

Đề tuyển sinh lớp 10 THPT năm 2019 – 2020 môn Toán sở GD&ĐT Hà Tĩnh

22/09/2019

Đề Thi Tuyển Sinh Lớp 10 Môn Toán

Đề tuyển sinh lớp 10 THPT năm 2019 – 2020 môn Toán sở GD&ĐT Thái Nguyên

22/09/2019

Đề Thi Tuyển Sinh Lớp 10 Môn Toán

Đề tuyển sinh lớp 10 THPT năm 2019 – 2020 môn Toán sở GD&ĐT Long An

22/09/2019

Đề Thi Tuyển Sinh Lớp 10 Môn Toán

Đề tuyển sinh lớp 10 THPT năm 2019 – 2020 môn Toán sở GD&ĐT Lào Cai

22/09/2019

Đề Thi Tuyển Sinh Lớp 10 Môn Toán

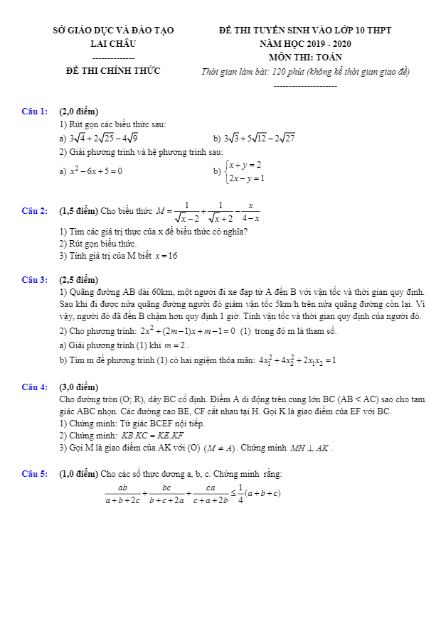
Đề tuyển sinh lớp 10 THPT năm 2019 – 2020 môn Toán sở GD&ĐT Lai Châu

22/09/2019

Đề Thi Tuyển Sinh Lớp 10 Môn Toán

Đề tuyển sinh lớp 10 THPT năm 2019 – 2020 môn Toán sở GD&ĐT Lâm Đồng

22/09/2019

Đề Thi Tuyển Sinh Lớp 10 Môn Toán

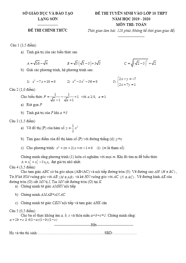
Đề tuyển sinh lớp 10 THPT năm 2019 – 2020 môn Toán sở GD&ĐT Lạng Sơn

22/09/2019

Đề Thi Tuyển Sinh Lớp 10 Môn Toán

Đề tuyển sinh lớp 10 THPT năm 2019 – 2020 môn Toán sở GD&ĐT Kiên Giang

22/09/2019

Đề Thi Giữa HK1 Toán 9

10 đề kiểm tra chất lượng giữa học kỳ 1 môn Toán 9

18/09/2019

Đề Thi Giữa HK1 Toán 8

10 đề kiểm tra chất lượng giữa học kỳ 1 môn Toán 8

16/09/2019

Khảo Sát Chất Lượng Toán 7

Đề kiểm tra Toán 7 tháng 9 năm 2019 – 2020 trường Archimedes Academy – Hà Nội

15/09/2019

Khảo Sát Chất Lượng Toán 8

Đề kiểm tra Toán 8 tháng 9 năm 2019 – 2020 trường Archimedes Academy – Hà Nội

15/09/2019

Khảo Sát Chất Lượng Toán 9

Đề kiểm tra Toán 9 tháng 9 năm 2019 – 2020 trường Archimedes Academy – Hà Nội

15/09/2019

Khảo Sát Chất Lượng Toán 9

Đề khảo sát đầu năm Toán 9 năm 2019 – 2020 trường Thanh Xuân – Hà Nội

15/09/2019

Khảo Sát Chất Lượng Toán 9

Đề kiểm tra Toán 9 tháng 9 năm 2019 – 2020 trường THCS Bế Văn Đàn – Hà Nội

15/09/2019

Tài Liệu Toán Ôn Thi Vào Lớp 10

Chuyên đề phương trình đại số – Trịnh Bình

15/09/2019

Tài Liệu Toán 6

Bài tập trắc nghiệm Số học 6 chương 1 có đáp án và lời giải

15/09/2019

Tài Liệu Toán 7

Bài tập trắc nghiệm Hình học 7 chương 1 có đáp án và lời giải

15/09/2019

Phân trang bài viết

« 1 2 3 »

TÌM KIẾM THEO TỪ KHÓA

TÀI LIỆU MỚI NHẤT

  • Đề giao lưu HSG Toán 6 năm 2025 – 2026 xã Quảng Ngọc – Thanh Hóa
    17/04/2026
  • Đề giao lưu HSG Toán 7 năm 2025 – 2026 xã Quảng Ngọc – Thanh Hóa
    17/04/2026
  • Đề giao lưu HSG Toán 8 năm 2025 – 2026 xã Quảng Ngọc – Thanh Hóa
    17/04/2026
  • Đề học kỳ 2 Toán 9 năm 2025 – 2026 trường Thực hành Sài Gòn – TP HCM
    17/04/2026
  • Đề học kỳ 2 Toán 9 năm 2025 – 2026 trường chuyên Trần Đại Nghĩa – TP HCM
    17/04/2026
  • Đề học kỳ 2 Toán 9 năm 2025 – 2026 trường THCS Đồng Khởi – TP HCM
    17/04/2026

THEO DÕI TRÊN FACEBOOK

  • Facebook
  • Giới thiệu
  • Chính sách bảo mật
  • Liên hệ

Copyright © 2026 | THCS.TOANMATH.com