THCS.TOANMATH.com

Tài liệu và đề thi Toán THCS miễn phí

  • Toán 6
    • Tài liệu Toán 6
    • Đề Cương Toán 6
    • Đề giữa HK1 Toán 6
    • Đề HK1 Toán 6
    • Đề giữa HK2 Toán 6
    • Đề HK2 Toán 6
    • Đề khảo sát Toán 6
    • Đề HSG Toán 6
  • Toán 7
    • Tài liệu Toán 7
    • Đề Cương Toán 7
    • Đề giữa HK1 Toán 7
    • Đề HK1 Toán 7
    • Đề giữa HK2 Toán 7
    • Đề HK2 Toán 7
    • Đề khảo sát Toán 7
    • Đề HSG Toán 7
  • Toán 8
    • Tài liệu Toán 8
    • Đề Cương Toán 8
    • Đề giữa HK1 Toán 8
    • Đề HK1 Toán 8
    • Đề giữa HK2 Toán 8
    • Đề HK2 Toán 8
    • Đề khảo sát Toán 8
    • Đề HSG Toán 8
  • Toán 9
    • Tài liệu Toán 9
    • Đề Cương Toán 9
    • Đề giữa HK1 Toán 9
    • Đề HK1 Toán 9
    • Đề giữa HK2 Toán 9
    • Đề HK2 Toán 9
    • Đề khảo sát Toán 9
    • Đề HSG Toán 9
  • Thi vào lớp 10
    • Đề thi vào lớp 10
    • Tài liệu thi vào lớp 10
  • SGK-SBT
    • Sách Giáo Khoa THPT
    • Sách Giáo Khoa THCS
  • Toán THPT

Tác giả thcstoanmath

Đề Thi HSG Toán 8

Đề học sinh giỏi Toán 8 năm 2023 – 2024 phòng GD&ĐT Lục Ngạn – Bắc Giang

03/04/2024

Đề Thi Giữa HK2 Toán 6

Đề giữa kì 2 Toán 6 năm 2023 – 2024 trường THCS Trần Hưng Đạo – BR VT

01/04/2024

Đề Thi Giữa HK2 Toán 7

Đề giữa kì 2 Toán 7 năm 2023 – 2024 trường THCS Trần Hưng Đạo – BR VT

01/04/2024

Đề Thi Giữa HK2 Toán 9

Đề giữa kì 2 Toán 9 năm 2023 – 2024 trường THCS Trần Hưng Đạo – BR VT

01/04/2024

Đề Thi Giữa HK2 Toán 6

Đề giữa kì 2 Toán 6 năm 2023 – 2024 trường THCS Cự Khối – Hà Nội

01/04/2024

Đề Thi Giữa HK2 Toán 7

Đề giữa kì 2 Toán 7 năm 2023 – 2024 trường THCS Cự Khối – Hà Nội

01/04/2024

Đề Thi Giữa HK2 Toán 8

Đề giữa kì 2 Toán 8 năm 2023 – 2024 trường THCS Cự Khối – Hà Nội

01/04/2024

Đề Thi HSG Toán 9

Đề học sinh giỏi cấp tỉnh Toán THCS năm 2023 – 2024 sở GD&ĐT Hà Giang

01/04/2024

Đề Thi HSG Toán 9

Đề học sinh giỏi cấp tỉnh Toán 9 năm 2023 – 2024 sở GD&ĐT Long An

01/04/2024

Khảo Sát Chất Lượng Toán 9

Đề khảo sát Toán 9 lần 2 năm 2023 – 2024 phòng GD&ĐT Thủy Nguyên – Hải Phòng

01/04/2024

Đề Thi Giữa HK2 Toán 9

Đề giữa kì 2 Toán 9 năm 2023 – 2024 trường THCS Cự Khối – Hà Nội

01/04/2024

Đề Thi Giữa HK2 Toán 6

Đề giữa học kì 2 Toán 6 năm 2023 – 2024 phòng GD&ĐT thành phố Bắc Giang

01/04/2024

Đề Thi Giữa HK2 Toán 7

Đề giữa học kì 2 Toán 7 năm 2023 – 2024 phòng GD&ĐT thành phố Bắc Giang

01/04/2024

Đề Thi Giữa HK2 Toán 8

Đề giữa học kì 2 Toán 8 năm 2023 – 2024 phòng GD&ĐT thành phố Bắc Giang

01/04/2024

Đề Thi Giữa HK2 Toán 9

Đề giữa học kì 2 Toán 9 năm 2023 – 2024 phòng GD&ĐT thành phố Bắc Giang

01/04/2024

Khảo Sát Chất Lượng Toán 9

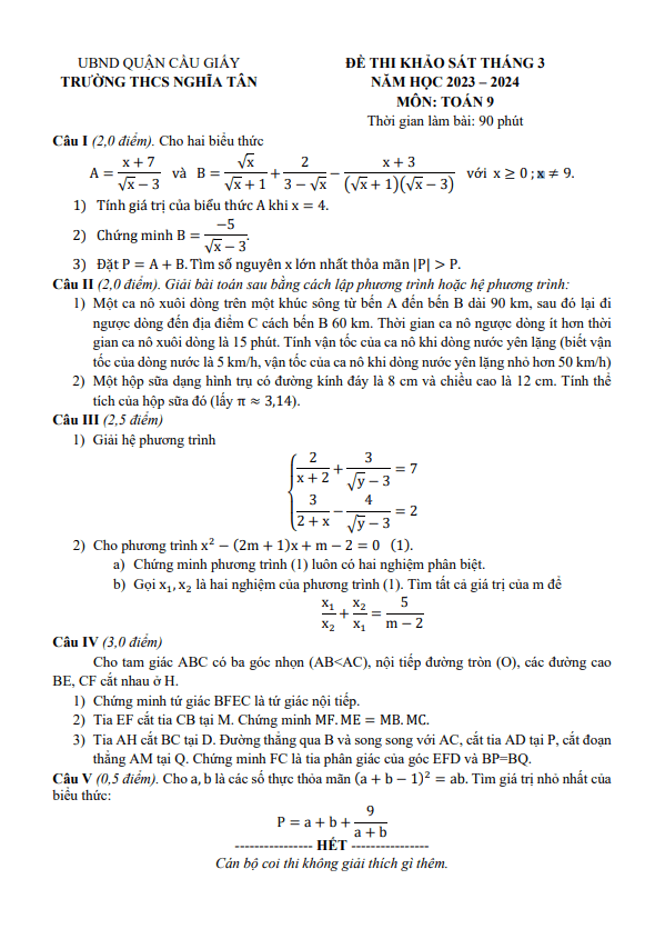
Đề khảo sát Toán 9 tháng 3 năm 2024 trường THCS Nghĩa Tân – Hà Nội

01/04/2024

Đề Thi Tuyển Sinh Lớp 10 Môn Toán

Đề khảo sát Toán vào 10 vòng 1 năm 2024 – 2025 phòng GD&ĐT Vũ Thư – Thái Bình

01/04/2024

Đề Thi HSG Toán 8

Đề học sinh giỏi Toán 8 năm 2023 – 2024 phòng GD&ĐT Kỳ Anh – Hà Tĩnh

01/04/2024

Đề Thi HSG Toán 8

Đề học sinh giỏi Toán 8 năm 2023 – 2024 trường THCS Khánh Yên – Lào Cai

01/04/2024

Khảo Sát Chất Lượng Toán 9

Đề kiểm tra lần 2 Toán 9 năm 2023 – 2024 trường chuyên Hà Nội – Amsterdam

31/03/2024

Phân trang bài viết

« 1 … 155 156 157 … 444 »

TÌM KIẾM THEO TỪ KHÓA

TÀI LIỆU MỚI NHẤT

  • Đề thi thử vào lớp 10 môn Toán tháng 4 năm 2026 phường Tây Tựu – Hà Nội
    26/04/2026
  • Đề cuối kỳ 2 Toán 8 năm 2025 – 2026 trường THCS Thanh Đa – TP HCM
    26/04/2026
  • Đề khảo sát Toán 9 lần 2 năm 2025 – 2026 trường THCS Tản Hồng – Hà Nội
    26/04/2026
  • Đề tham khảo tuyển sinh lớp 10 môn Toán năm 2026 – 2027 sở GD&ĐT Cần Thơ
    26/04/2026
  • Đề Olympic Toán THCS lần 2 năm 2025 – 2026 trường chuyên Nguyễn Trãi – Hải Phòng
    25/04/2026
  • Đề khảo sát Toán 9 lần 1 năm 2025 – 2026 trường Thống Nhất – Thanh Hóa
    25/04/2026

THEO DÕI TRÊN FACEBOOK

  • Facebook
  • Giới thiệu
  • Chính sách bảo mật
  • Liên hệ

Copyright © 2026 | THCS.TOANMATH.com