THCS.TOANMATH.com

Tài liệu và đề thi Toán THCS miễn phí

  • Toán 6
    • Tài liệu Toán 6
    • Đề Cương Toán 6
    • Đề giữa HK1 Toán 6
    • Đề HK1 Toán 6
    • Đề giữa HK2 Toán 6
    • Đề HK2 Toán 6
    • Đề khảo sát Toán 6
    • Đề HSG Toán 6
  • Toán 7
    • Tài liệu Toán 7
    • Đề Cương Toán 7
    • Đề giữa HK1 Toán 7
    • Đề HK1 Toán 7
    • Đề giữa HK2 Toán 7
    • Đề HK2 Toán 7
    • Đề khảo sát Toán 7
    • Đề HSG Toán 7
  • Toán 8
    • Tài liệu Toán 8
    • Đề Cương Toán 8
    • Đề giữa HK1 Toán 8
    • Đề HK1 Toán 8
    • Đề giữa HK2 Toán 8
    • Đề HK2 Toán 8
    • Đề khảo sát Toán 8
    • Đề HSG Toán 8
  • Toán 9
    • Tài liệu Toán 9
    • Đề Cương Toán 9
    • Đề giữa HK1 Toán 9
    • Đề HK1 Toán 9
    • Đề giữa HK2 Toán 9
    • Đề HK2 Toán 9
    • Đề khảo sát Toán 9
    • Đề HSG Toán 9
  • Thi vào lớp 10
    • Đề thi vào lớp 10
    • Tài liệu thi vào lớp 10
  • SGK-SBT
    • Sách Giáo Khoa THPT
    • Sách Giáo Khoa THCS
  • Toán THPT

Đề Thi HSG Toán 9

Tổng hợp ĐỀ THI HSG TOÁN 9 của các trường Trung học Cơ sở, các Phòng Giáo dục và Đào tạo, các Sở Giáo dục và Đào tạo trên toàn quốc, có đáp án và lời giải chi tiết (định dạng PDF + WORD), hỗ trợ học sinh lớp 9 trong quá trình ôn tập chuẩn bị cho kỳ thi chọn học sinh giỏi Toán 9 các cấp: cấp trường / cấp huyện / cấp tỉnh / cấp Quốc gia.

Quý thầy, cô giáo và bạn đọc có thể chia sẻ thêm ĐỀ THI HSG TOÁN 9 bằng cách gửi về địa chỉ email: toanmath.com@gmail.com, nhằm tạo nguồn đề thi phong phú, đa dạng để các em học sinh lớp 9 tham khảo và rèn luyện.

Đề Thi HSG Toán 9

Đề học sinh giỏi cấp tỉnh Toán 9 năm 2022 – 2023 sở GD&ĐT Quảng Ngãi

16/03/2023

Đề Thi HSG Toán 9

Đề thi chọn học sinh giỏi Toán 9 năm 2022 – 2023 sở GD&ĐT Quảng Trị

15/03/2023

Đề Thi HSG Toán 9

Đề học sinh giỏi cấp tỉnh Toán THCS năm 2022 – 2023 sở GD&ĐT Quảng Ninh

14/03/2023

Đề Thi HSG Toán 9

Đề thi học sinh giỏi Toán 9 năm 2022 – 2023 sở GD&ĐT TP Hồ Chí Minh

14/03/2023

Đề Thi HSG Toán 9

Đề học sinh giỏi cấp tỉnh Toán THCS năm 2022 – 2023 sở GD&ĐT Sơn La

11/03/2023

Đề Thi HSG Toán 9

Đề thi chọn học sinh giỏi Toán 9 năm 2022 – 2023 sở GD&ĐT Nam Định

10/03/2023

Đề Thi HSG Toán 9

Đề học sinh giỏi cấp tỉnh Toán THCS năm 2022 – 2023 sở GD&ĐT Đắk Nông

10/03/2023

Đề Thi HSG Toán 9

Đề học sinh giỏi cấp tỉnh Toán 9 năm 2022 – 2023 sở GD&ĐT Bến Tre

10/03/2023

Đề Thi HSG Toán 9

Đề học sinh giỏi cấp tỉnh Toán THCS năm 2022 – 2023 sở GD&ĐT Phú Yên

09/03/2023

Đề Thi HSG Toán 9

Đề học sinh giỏi cấp tỉnh Toán 9 năm 2022 – 2023 sở GD&ĐT Lâm Đồng

07/03/2023

Đề Thi HSG Toán 9

Đề thi học sinh giỏi Toán 9 năm 2022 – 2023 phòng GD&ĐT thành phố Thái Nguyên

06/03/2023

Đề Thi HSG Toán 9

Đề thi HSG Toán THCS năm 2022 – 2023 phòng GD&ĐT Buôn Ma Thuột – Đắk Lắk

04/03/2023

Đề Thi HSG Toán 9

Đề học sinh giỏi Toán THCS năm 2022 – 2023 sở GD&ĐT Yên Bái

03/03/2023

Đề Thi HSG Toán 9

Đề học sinh giỏi cấp tỉnh Toán THCS năm 2022 – 2023 sở GD&ĐT Hậu Giang

03/03/2023

Đề Thi HSG Toán 9

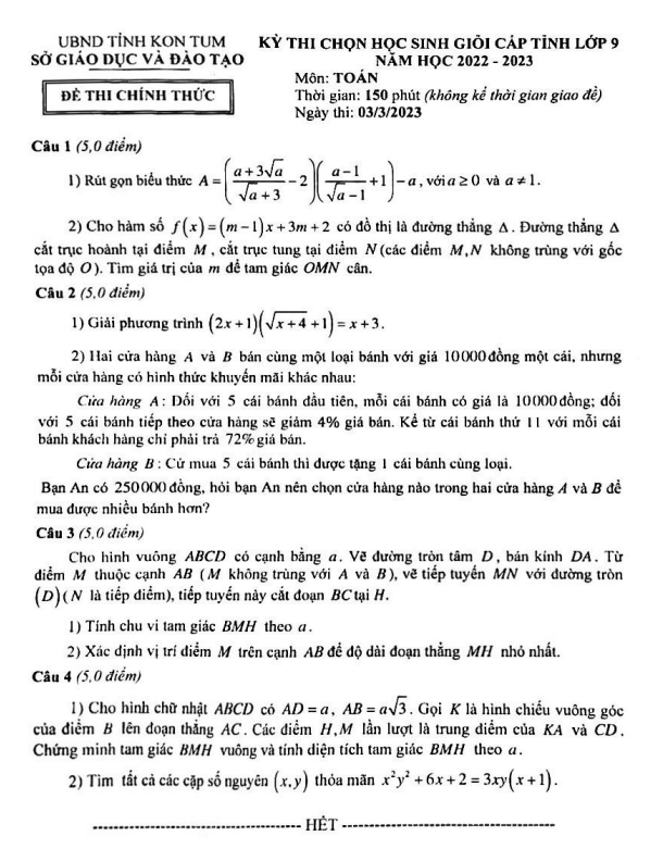
Đề học sinh giỏi cấp tỉnh Toán 9 năm 2022 – 2023 sở GD&ĐT Kon Tum

03/03/2023

Đề Thi HSG Toán 9

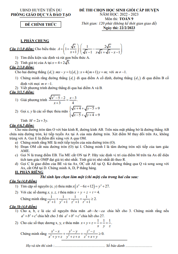
Đề học sinh giỏi huyện Toán 9 năm 2022 – 2023 phòng GD&ĐT Tiên Du – Bắc Ninh

03/03/2023

Đề Thi HSG Toán 9

Đề thi HSG Toán 9 năm 2022 – 2023 trường THCS Phan Ngọc Hiển – Cà Mau

18/02/2023

Đề Thi HSG Toán 9

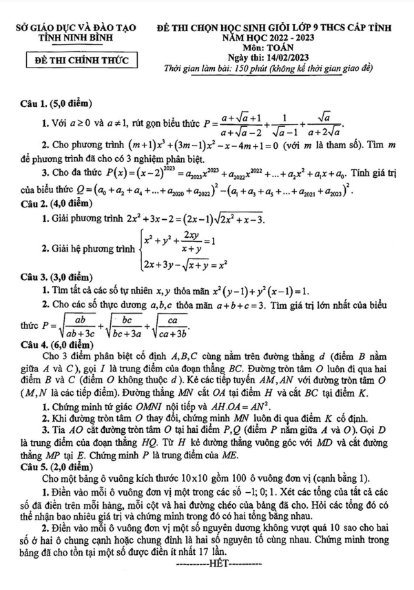
Đề học sinh giỏi Toán 9 cấp tỉnh năm 2022 – 2023 sở GD&ĐT Ninh Bình

14/02/2023

Đề Thi HSG Toán 9

Đề học sinh giỏi cấp tỉnh Toán 9 năm 2022 – 2023 sở GD&ĐT Phú Thọ

14/02/2023

Đề Thi HSG Toán 9

Đề học sinh giỏi Toán 9 năm 2022 – 2023 phòng GD&ĐT Châu Thành – Bến Tre

13/02/2023

Phân trang bài viết

« 1 … 16 17 18 … 31 »

TÌM KIẾM THEO TỪ KHÓA

TÀI LIỆU MỚI NHẤT

  • Đề thi thử vào lớp 10 môn Toán tháng 4 năm 2026 phường Tây Tựu – Hà Nội
    26/04/2026
  • Đề cuối kỳ 2 Toán 8 năm 2025 – 2026 trường THCS Thanh Đa – TP HCM
    26/04/2026
  • Đề khảo sát Toán 9 lần 2 năm 2025 – 2026 trường THCS Tản Hồng – Hà Nội
    26/04/2026
  • Đề tham khảo tuyển sinh lớp 10 môn Toán năm 2026 – 2027 sở GD&ĐT Cần Thơ
    26/04/2026
  • Đề Olympic Toán THCS lần 2 năm 2025 – 2026 trường chuyên Nguyễn Trãi – Hải Phòng
    25/04/2026
  • Đề khảo sát Toán 9 lần 1 năm 2025 – 2026 trường Thống Nhất – Thanh Hóa
    25/04/2026

THEO DÕI TRÊN FACEBOOK

  • Facebook
  • Giới thiệu
  • Chính sách bảo mật
  • Liên hệ

Copyright © 2026 | THCS.TOANMATH.com