THCS.TOANMATH.com

Tài liệu và đề thi Toán THCS miễn phí

  • Toán 6
    • Tài liệu Toán 6
    • Đề Cương Toán 6
    • Đề giữa HK1 Toán 6
    • Đề HK1 Toán 6
    • Đề giữa HK2 Toán 6
    • Đề HK2 Toán 6
    • Đề khảo sát Toán 6
    • Đề HSG Toán 6
  • Toán 7
    • Tài liệu Toán 7
    • Đề Cương Toán 7
    • Đề giữa HK1 Toán 7
    • Đề HK1 Toán 7
    • Đề giữa HK2 Toán 7
    • Đề HK2 Toán 7
    • Đề khảo sát Toán 7
    • Đề HSG Toán 7
  • Toán 8
    • Tài liệu Toán 8
    • Đề Cương Toán 8
    • Đề giữa HK1 Toán 8
    • Đề HK1 Toán 8
    • Đề giữa HK2 Toán 8
    • Đề HK2 Toán 8
    • Đề khảo sát Toán 8
    • Đề HSG Toán 8
  • Toán 9
    • Tài liệu Toán 9
    • Đề Cương Toán 9
    • Đề giữa HK1 Toán 9
    • Đề HK1 Toán 9
    • Đề giữa HK2 Toán 9
    • Đề HK2 Toán 9
    • Đề khảo sát Toán 9
    • Đề HSG Toán 9
  • Thi vào lớp 10
    • Đề thi vào lớp 10
    • Tài liệu thi vào lớp 10
  • SGK-SBT
    • Sách Giáo Khoa THPT
    • Sách Giáo Khoa THCS
  • Toán THPT

Đề Thi HSG Toán 9

Tổng hợp ĐỀ THI HSG TOÁN 9 của các trường Trung học Cơ sở, các Phòng Giáo dục và Đào tạo, các Sở Giáo dục và Đào tạo trên toàn quốc, có đáp án và lời giải chi tiết (định dạng PDF + WORD), hỗ trợ học sinh lớp 9 trong quá trình ôn tập chuẩn bị cho kỳ thi chọn học sinh giỏi Toán 9 các cấp: cấp trường / cấp huyện / cấp tỉnh / cấp Quốc gia.

Quý thầy, cô giáo và bạn đọc có thể chia sẻ thêm ĐỀ THI HSG TOÁN 9 bằng cách gửi về địa chỉ email: toanmath.com@gmail.com, nhằm tạo nguồn đề thi phong phú, đa dạng để các em học sinh lớp 9 tham khảo và rèn luyện.

Đề Thi HSG Toán 9

Đề học sinh giỏi Toán THCS năm 2022 – 2023 phòng GD&ĐT Ea H’Leo – Đắk Lắk

13/02/2023

Đề Thi HSG Toán 9

Đề học sinh giỏi cấp tỉnh Toán 9 năm 2022 – 2023 sở GD&ĐT Nghệ An

12/02/2023

Đề Thi HSG Toán 9

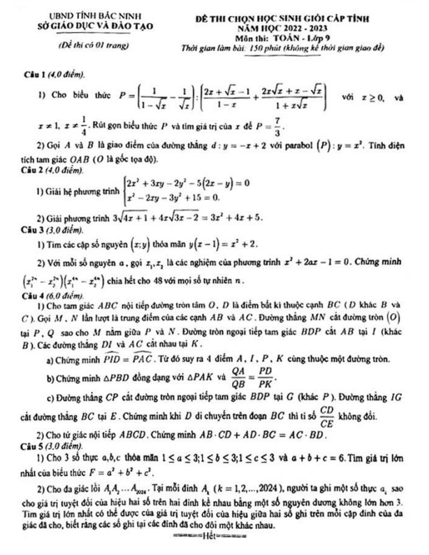
Đề học sinh giỏi cấp tỉnh Toán 9 năm 2022 – 2023 sở GD&ĐT Bắc Ninh

10/02/2023

Đề Thi HSG Toán 9

Đề thi học sinh giỏi Toán 9 năm 2022 – 2023 sở GD&ĐT thành phố Đà Nẵng

10/02/2023

Đề Thi HSG Toán 9

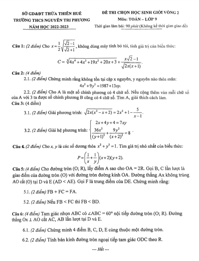
Đề HSG Toán 9 vòng 2 năm 2022 – 2023 trường THCS Nguyễn Tri Phương – TT Huế

10/02/2023

Đề Thi HSG Toán 9

Đề học sinh giỏi Toán THCS năm 2022 – 2023 phòng GD&ĐT Lương Sơn – Hòa Bình

08/02/2023

Đề Thi HSG Toán 9

Đề học sinh giỏi huyện Toán 9 năm 2022 – 2023 phòng GD&ĐT Yên Phong – Bắc Ninh

03/02/2023

Đề Thi HSG Toán 9

Đề học sinh giỏi Toán 9 năm 2022 – 2023 phòng GD&ĐT Hương Trà – TT Huế

13/01/2023

Đề Thi HSG Toán 9

Đề học sinh giỏi huyện Toán 9 năm 2022 – 2023 phòng GD&ĐT Quế Võ – Bắc Ninh

12/01/2023

Đề Thi HSG Toán 9

Đề chọn học sinh giỏi Toán 9 THCS năm 2022 – 2023 sở GD&ĐT Vĩnh Phúc

12/01/2023

Đề Thi HSG Toán 9

Đề học sinh giỏi cấp tỉnh Toán 9 năm 2022 – 2023 sở GD&ĐT Hải Dương

12/01/2023

Đề Thi HSG Toán 9

Đề thi học sinh giỏi tỉnh Toán 9 năm 2022 – 2023 sở GD&ĐT Hà Tĩnh

11/01/2023

Đề Thi HSG Toán 9

Đề học sinh giỏi huyện Toán 9 năm 2022 – 2023 phòng GD&ĐT Trà Ôn – Vĩnh Long

10/01/2023

Đề Thi HSG Toán 9

Đề học sinh giỏi Toán 9 năm 2022 – 2023 phòng GD&ĐT thành phố Nam Định

10/01/2023

Đề Thi HSG Toán 9

Đề HSG Toán năm 2022 – 2023 phòng GD&ĐT Phan Rang – Tháp Chàm – Ninh Thuận

10/01/2023

Đề Thi HSG Toán 9

Đề thi học sinh giỏi Toán 9 năm học 2022 – 2023 sở GD&ĐT Hà Nội

08/01/2023

Đề Thi HSG Toán 9

Đề học sinh giỏi Toán 9 năm 2022 – 2023 phòng GD&ĐT TP Cao Lãnh – Đồng Tháp

06/01/2023

Đề Thi HSG Toán 9

Đề học sinh giỏi huyện Toán THCS năm 2022 – 2023 phòng GD&ĐT Cát Tiên – Lâm Đồng

02/01/2023

Đề Thi HSG Toán 9

Đề học sinh giỏi huyện Toán 9 năm 2022 – 2023 phòng GD&ĐT Đạ Tẻh – Lâm Đồng

23/12/2022

Đề Thi HSG Toán 9

Đề học sinh giỏi tỉnh Toán THCS năm 2022 – 2023 sở GD&ĐT Thanh Hóa

22/12/2022

Phân trang bài viết

« 1 … 17 18 19 … 31 »

TÌM KIẾM THEO TỪ KHÓA

TÀI LIỆU MỚI NHẤT

  • Đề thi thử vào lớp 10 môn Toán tháng 4 năm 2026 phường Tây Tựu – Hà Nội
    26/04/2026
  • Đề cuối kỳ 2 Toán 8 năm 2025 – 2026 trường THCS Thanh Đa – TP HCM
    26/04/2026
  • Đề khảo sát Toán 9 lần 2 năm 2025 – 2026 trường THCS Tản Hồng – Hà Nội
    26/04/2026
  • Đề tham khảo tuyển sinh lớp 10 môn Toán năm 2026 – 2027 sở GD&ĐT Cần Thơ
    26/04/2026
  • Đề Olympic Toán THCS lần 2 năm 2025 – 2026 trường chuyên Nguyễn Trãi – Hải Phòng
    25/04/2026
  • Đề khảo sát Toán 9 lần 1 năm 2025 – 2026 trường Thống Nhất – Thanh Hóa
    25/04/2026

THEO DÕI TRÊN FACEBOOK

  • Facebook
  • Giới thiệu
  • Chính sách bảo mật
  • Liên hệ

Copyright © 2026 | THCS.TOANMATH.com