THCS.TOANMATH.com

Tài liệu và đề thi Toán THCS miễn phí

  • Toán 6
    • Tài liệu Toán 6
    • Đề Cương Toán 6
    • Đề giữa HK1 Toán 6
    • Đề HK1 Toán 6
    • Đề giữa HK2 Toán 6
    • Đề HK2 Toán 6
    • Đề khảo sát Toán 6
    • Đề HSG Toán 6
  • Toán 7
    • Tài liệu Toán 7
    • Đề Cương Toán 7
    • Đề giữa HK1 Toán 7
    • Đề HK1 Toán 7
    • Đề giữa HK2 Toán 7
    • Đề HK2 Toán 7
    • Đề khảo sát Toán 7
    • Đề HSG Toán 7
  • Toán 8
    • Tài liệu Toán 8
    • Đề Cương Toán 8
    • Đề giữa HK1 Toán 8
    • Đề HK1 Toán 8
    • Đề giữa HK2 Toán 8
    • Đề HK2 Toán 8
    • Đề khảo sát Toán 8
    • Đề HSG Toán 8
  • Toán 9
    • Tài liệu Toán 9
    • Đề Cương Toán 9
    • Đề giữa HK1 Toán 9
    • Đề HK1 Toán 9
    • Đề giữa HK2 Toán 9
    • Đề HK2 Toán 9
    • Đề khảo sát Toán 9
    • Đề HSG Toán 9
  • Thi vào lớp 10
    • Đề thi vào lớp 10
    • Tài liệu thi vào lớp 10
  • SGK-SBT
    • Sách Giáo Khoa THPT
    • Sách Giáo Khoa THCS
  • Toán THPT

Tháng: Tháng 12 2020

Đề Thi HK1 Toán 9

Đề kiểm tra cuối kỳ 1 Toán 9 năm học 2020 – 2021 sở GDKHCN Bạc Liêu

27/12/2020

Đề Thi HK1 Toán 8

Đề thi HK1 Toán 8 năm 2020 – 2021 phòng GD&ĐT TP Đà Lạt – Lâm Đồng

27/12/2020

Đề Thi HK1 Toán 9

Đề thi HK1 Toán 9 năm 2020 – 2021 phòng GD&ĐT TP Đà Lạt – Lâm Đồng

27/12/2020

Đề Thi HK1 Toán 8

Đề thi học kì 1 Toán 8 năm 2020 – 2021 phòng GD&ĐT Đống Đa – Hà Nội

27/12/2020

Đề Thi HK1 Toán 6

Đề thi học kì 1 Toán 6 năm 2020 – 2021 phòng GD&ĐT Đống Đa – Hà Nội

27/12/2020

Đề Thi HK1 Toán 9

Đề kiểm tra học kỳ 1 Toán 9 năm học 2020 – 2021 sở GD&ĐT Vĩnh Long

27/12/2020

Đề Thi HK1 Toán 9

Đề thi học kì 1 Toán 9 năm 2020 – 2021 phòng GD&ĐT Gia Lâm – Hà Nội

27/12/2020

Đề Thi HK1 Toán 9

Đề kiểm tra cuối kì 1 Toán 9 năm 2020 – 2021 phòng GD&ĐT Hà Đông – Hà Nội

27/12/2020

Đề Thi HK1 Toán 9

Đề thi học kì 1 Toán 9 năm 2020 – 2021 phòng GD&ĐT Cầu Giấy – Hà Nội

27/12/2020

Đề Thi Giữa HK1 Toán 6

Đề thi giữa học kỳ 1 Toán 6 năm 2020 – 2021 sở GD&ĐT Bắc Ninh

25/12/2020

Đề Thi Giữa HK1 Toán 7

Đề thi giữa học kỳ 1 Toán 7 năm 2020 – 2021 sở GD&ĐT Bắc Ninh

25/12/2020

Đề Thi Giữa HK1 Toán 8

Đề thi giữa học kỳ 1 Toán 8 năm 2020 – 2021 sở GD&ĐT Bắc Ninh

25/12/2020

Đề Thi Giữa HK1 Toán 9

Đề thi giữa học kỳ 1 Toán 9 năm 2020 – 2021 sở GD&ĐT Bắc Ninh

25/12/2020

Đề Thi HK1 Toán 6

Đề thi cuối học kỳ 1 Toán 6 năm 2020 – 2021 sở GD&ĐT Bắc Ninh

25/12/2020

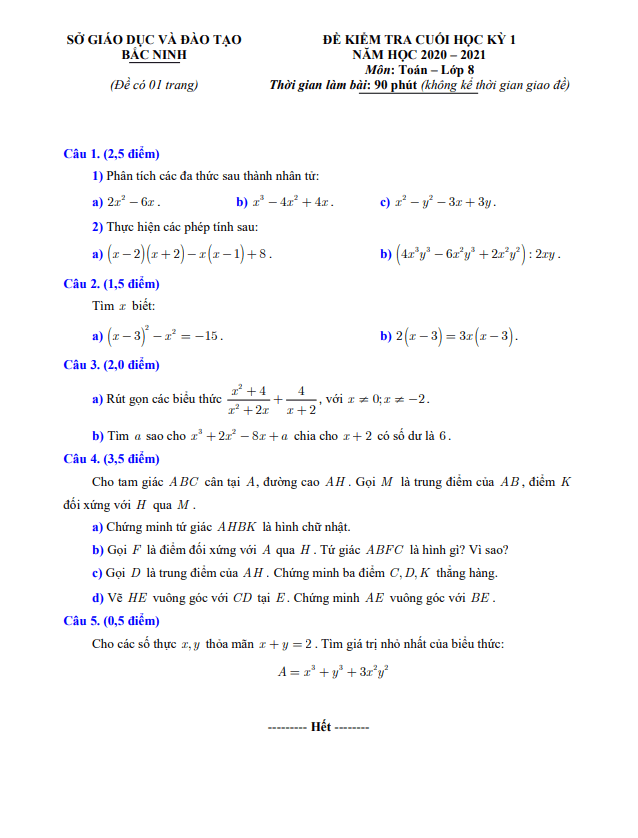
Đề Thi HK1 Toán 8

Đề thi cuối học kỳ 1 Toán 8 năm 2020 – 2021 sở GD&ĐT Bắc Ninh

25/12/2020

Đề Thi HK1 Toán 8

Đề thi học kỳ 1 Toán 8 năm 2020 – 2021 trường THCS Phan Chu Trinh – Hà Nội

25/12/2020

Đề Thi HK1 Toán 7

Đề kiểm tra học kỳ 1 Toán 7 năm 2020 – 2021 phòng GD&ĐT Tây Hồ – Hà Nội

25/12/2020

Đề Thi HK1 Toán 7

Đề thi học kỳ 1 Toán 7 năm 2020 – 2021 trường THCS Phan Chu Trinh – Hà Nội

25/12/2020

Đề Thi HK1 Toán 6

Đề kiểm tra học kỳ 1 Toán 6 năm 2020 – 2021 phòng GD&ĐT Tây Hồ – Hà Nội

25/12/2020

Đề Thi HK1 Toán 7

Đề thi cuối kì 1 Toán 7 năm 2020 – 2021 phòng GD&ĐT Quận 10 – TP HCM

25/12/2020

Phân trang bài viết

« 1 2 3 … 7 »

TÌM KIẾM THEO TỪ KHÓA

TÀI LIỆU MỚI NHẤT

  • Đề khảo sát chất lượng Toán 9 năm 2025 – 2026 phường Khương Đình – Hà Nội
    20/04/2026
  • Đề khảo sát Toán 9 năm 2025 – 2026 trường THPT chuyên Lê Quý Đôn – TP HCM
    20/04/2026
  • Đề cương cuối học kì 2 Toán 6 năm 2025 – 2026 trường THCS Long Toàn – TP HCM
    20/04/2026
  • Đề cương cuối học kì 2 Toán 7 năm 2025 – 2026 trường THCS Long Toàn – TP HCM
    20/04/2026
  • Đề cương cuối học kì 2 Toán 8 năm 2025 – 2026 trường THCS Long Toàn – TP HCM
    20/04/2026
  • Đề cương cuối học kì 2 Toán 9 năm 2025 – 2026 trường THCS Long Toàn – TP HCM
    20/04/2026

THEO DÕI TRÊN FACEBOOK

  • Facebook
  • Giới thiệu
  • Chính sách bảo mật
  • Liên hệ

Copyright © 2026 | THCS.TOANMATH.com