THCS.TOANMATH.com

Tài liệu và đề thi Toán THCS miễn phí

  • Toán 6
    • Tài liệu Toán 6
    • Đề Cương Toán 6
    • Đề giữa HK1 Toán 6
    • Đề HK1 Toán 6
    • Đề giữa HK2 Toán 6
    • Đề HK2 Toán 6
    • Đề khảo sát Toán 6
    • Đề HSG Toán 6
  • Toán 7
    • Tài liệu Toán 7
    • Đề Cương Toán 7
    • Đề giữa HK1 Toán 7
    • Đề HK1 Toán 7
    • Đề giữa HK2 Toán 7
    • Đề HK2 Toán 7
    • Đề khảo sát Toán 7
    • Đề HSG Toán 7
  • Toán 8
    • Tài liệu Toán 8
    • Đề Cương Toán 8
    • Đề giữa HK1 Toán 8
    • Đề HK1 Toán 8
    • Đề giữa HK2 Toán 8
    • Đề HK2 Toán 8
    • Đề khảo sát Toán 8
    • Đề HSG Toán 8
  • Toán 9
    • Tài liệu Toán 9
    • Đề Cương Toán 9
    • Đề giữa HK1 Toán 9
    • Đề HK1 Toán 9
    • Đề giữa HK2 Toán 9
    • Đề HK2 Toán 9
    • Đề khảo sát Toán 9
    • Đề HSG Toán 9
  • Thi vào lớp 10
    • Đề thi vào lớp 10
    • Tài liệu thi vào lớp 10
  • SGK-SBT
    • Sách Giáo Khoa THPT
    • Sách Giáo Khoa THCS
  • Toán THPT

Tháng: Tháng 5 2024

Đề Thi Tuyển Sinh Lớp 10 Môn Toán

Đề thi thử Toán vào lớp 10 năm 2024 – 2025 phòng GD&ĐT Vinh – Nghệ An

23/05/2024

Đề Thi Tuyển Sinh Lớp 10 Môn Toán

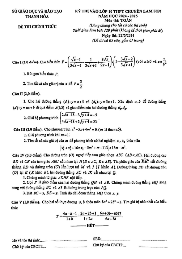
Đề thi vào lớp 10 môn Toán năm 2024 – 2025 trường chuyên Lam Sơn – Thanh Hóa

23/05/2024

Đề Thi Tuyển Sinh Lớp 10 Môn Toán

Đề thi thử Toán vào lớp 10 lần 2 năm 2024 – 2025 phòng GD&ĐT Quốc Oai – Hà Nội

23/05/2024

Đề Thi Tuyển Sinh Lớp 10 Môn Toán

Đề thi thử Toán tuyển sinh lớp 10 năm 2024 – 2025 phòng GD&ĐT Giao Thủy – Nam Định

23/05/2024

Đề Thi Tuyển Sinh Lớp 10 Môn Toán

Đề thi thử Toán vào lớp 10 lần 1 năm 2024 – 2025 phòng GD&ĐT Hải Hậu – Nam Định

23/05/2024

Đề Thi HK2 Toán 9

Đề học kì 2 Toán 9 năm 2023 – 2024 phòng GD&ĐT Xuân Trường – Nam Định

23/05/2024

Đề Thi Tuyển Sinh Lớp 10 Môn Toán

Đề thi thử Toán tuyển sinh lớp 10 năm 2024 – 2025 trường THPT Chu Văn An – Thái Nguyên

22/05/2024

Đề Thi Tuyển Sinh Lớp 10 Môn Toán

Đề thi thử Toán vào THPT lần 2 năm 2024 – 2025 phòng GD&ĐT Vụ Bản – Nam Định

22/05/2024

Khảo Sát Chất Lượng Toán 9

Đề khảo sát Toán 9 cuối năm 2023 – 2024 phòng GD&ĐT Quỳnh Lưu – Nghệ An

22/05/2024

Đề Thi Tuyển Sinh Lớp 10 Môn Toán

Đề thi thử Toán tuyển sinh lớp 10 năm 2024 – 2025 phòng GD&ĐT Cửa Lò – Nghệ An

22/05/2024

Đề Thi HSG Toán 8

Đề thi Olympic Toán 8 năm 2023 – 2024 phòng GD&ĐT Hoàng Mai – Nghệ An

22/05/2024

Đề Thi HSG Toán 6

Đề thi Olympic Toán 6 năm 2023 – 2024 phòng GD&ĐT Hoàng Mai – Nghệ An

22/05/2024

Đề Thi HSG Toán 7

Đề thi Olympic Toán 7 năm 2023 – 2024 phòng GD&ĐT Hoàng Mai – Nghệ An

22/05/2024

Đề Thi Tuyển Sinh Lớp 10 Môn Toán

Đề thi thử Toán vào lớp 10 lần 2 năm 2024 – 2025 phòng GD&ĐT Tân Kỳ – Nghệ An

22/05/2024

Đề Thi Tuyển Sinh Lớp 10 Môn Toán

Đề thi thử Toán vào lớp 10 lần 3 năm 2024 – 2025 phòng GD&ĐT Thái Hòa – Nghệ An

22/05/2024

Đề Thi Tuyển Sinh Lớp 10 Môn Toán

Đề thi thử Toán vào lớp 10 lần 2 năm 2024 – 2025 phòng GD&ĐT Nghĩa Đàn – Nghệ An

22/05/2024

Khảo Sát Chất Lượng Toán 8

Đề khảo sát Toán 8 cuối năm 2023 – 2024 phòng GD&ĐT Nghĩa Đàn – Nghệ An

20/05/2024

Khảo Sát Chất Lượng Toán 7

Đề khảo sát Toán 7 cuối năm 2023 – 2024 phòng GD&ĐT Nghĩa Đàn – Nghệ An

20/05/2024

Khảo Sát Chất Lượng Toán 6

Đề khảo sát Toán 6 cuối năm 2023 – 2024 phòng GD&ĐT Nghĩa Đàn – Nghệ An

20/05/2024

Đề Thi HK2 Toán 9

Đề cuối học kì 2 Toán 9 năm 2023 – 2024 phòng GD&ĐT Ea H’Leo – Đắk Lắk

20/05/2024

Phân trang bài viết

« 1 2 3 … 9 »

TÌM KIẾM THEO TỪ KHÓA

TÀI LIỆU MỚI NHẤT

  • Đề khảo sát Toán 9 tháng 5 năm 2026 trường THCS Ngô Gia Tự – Hà Nội
    13/05/2026
  • Đề thi thử tuyển sinh lớp 10 môn Toán (chuyên) lần 2 năm 2026 trường PTNK – TP HCM
    13/05/2026
  • Đề thi thử Toán tuyển sinh lớp 10 năm 2026 – 2027 cụm trường Cửa Lò – Nghệ An
    13/05/2026
  • Đề khảo sát vào lớp 10 môn Toán năm 2026 – 2027 xã Hồi Xuân – Thanh Hóa
    13/05/2026
  • Đề khảo sát Toán 9 tuần 1 tháng 5 năm 2026 trường THCS Thượng Thanh – Hà Nội
    13/05/2026
  • Đề khảo sát Toán 9 tuần 3 tháng 4 năm 2026 trường THCS Thượng Thanh – Hà Nội
    13/05/2026

THEO DÕI TRÊN FACEBOOK

  • Facebook
  • Giới thiệu
  • Chính sách bảo mật
  • Liên hệ

Copyright © 2026 | THCS.TOANMATH.com