THCS.TOANMATH.com

Tài liệu và đề thi Toán THCS miễn phí

  • Toán 6
    • Tài liệu Toán 6
    • Đề Cương Toán 6
    • Đề giữa HK1 Toán 6
    • Đề HK1 Toán 6
    • Đề giữa HK2 Toán 6
    • Đề HK2 Toán 6
    • Đề khảo sát Toán 6
    • Đề HSG Toán 6
  • Toán 7
    • Tài liệu Toán 7
    • Đề Cương Toán 7
    • Đề giữa HK1 Toán 7
    • Đề HK1 Toán 7
    • Đề giữa HK2 Toán 7
    • Đề HK2 Toán 7
    • Đề khảo sát Toán 7
    • Đề HSG Toán 7
  • Toán 8
    • Tài liệu Toán 8
    • Đề Cương Toán 8
    • Đề giữa HK1 Toán 8
    • Đề HK1 Toán 8
    • Đề giữa HK2 Toán 8
    • Đề HK2 Toán 8
    • Đề khảo sát Toán 8
    • Đề HSG Toán 8
  • Toán 9
    • Tài liệu Toán 9
    • Đề Cương Toán 9
    • Đề giữa HK1 Toán 9
    • Đề HK1 Toán 9
    • Đề giữa HK2 Toán 9
    • Đề HK2 Toán 9
    • Đề khảo sát Toán 9
    • Đề HSG Toán 9
  • Thi vào lớp 10
    • Đề thi vào lớp 10
    • Tài liệu thi vào lớp 10
  • SGK-SBT
    • Sách Giáo Khoa THPT
    • Sách Giáo Khoa THCS
  • Toán THPT

Tháng: Tháng 4 2020

Đề Thi HK2 Toán 9

Đề thi HK2 Toán 9 năm 2018 – 2019 phòng GD&ĐT Hoàng Mai – Hà Nội

22/04/2020

Đề Thi HK2 Toán 9

Đề thi HK2 Toán 9 năm 2018 – 2019 phòng GD&ĐT Long Biên – Hà Nội

22/04/2020

Đề Thi HK2 Toán 9

Đề thi HK2 Toán 9 năm 2018 – 2019 phòng GD&ĐT Nam Từ Liêm – Hà Nội

22/04/2020

Đề Thi HK2 Toán 7

Đề KSCL học kỳ 2 Toán 7 năm 2018 – 2019 trường Hưng Nhân – Hải Phòng

17/04/2020

Đề Thi HK2 Toán 7

Đề khảo sát kì 2 Toán 7 năm 2018 – 2019 trường THCS Đồng Minh – Hải Phòng

16/04/2020

Đề Thi HK2 Toán 7

Đề thi kì 2 Toán 7 năm 2018 – 2019 trường THCS Nhân Hòa – Hải Phòng

16/04/2020

Đề Thi HK2 Toán 7

Đề KSCL cuối năm Toán 7 năm 2018 – 2019 trường THCS Cao Minh – Hải Phòng

16/04/2020

Đề Thi HK2 Toán 7

Đề thi Toán 7 học kì 2 năm 2018 – 2019 trường THCS An Hòa – Hải Phòng

15/04/2020

Đề Thi HK2 Toán 7

Đề thi Toán 7 học kì 2 năm 2018 – 2019 trường THCS Trung Lập – Hải Phòng

15/04/2020

Đề Thi HK2 Toán 7

Đề khảo sát kì 2 Toán 7 năm 2018 – 2019 trường THCS Việt Tiến – Hải Phòng

15/04/2020

Đề Thi HK2 Toán 7

Đề khảo sát kì 2 Toán 7 năm 2018 – 2019 trường THCS Tân Liên – Hải Phòng

15/04/2020

Đề Thi HK2 Toán 7

Đề thi HK2 Toán 7 năm 2018 – 2019 trường THCS Thắng Thủy – Vĩnh Long – Hải Phòng

15/04/2020

TÌM KIẾM THEO TỪ KHÓA

TÀI LIỆU MỚI NHẤT

  • Ôn tập cuối học kì 2 Toán 6 năm 2025 – 2026 trường THCS Độc Lập – Thái Nguyên
    21/04/2026
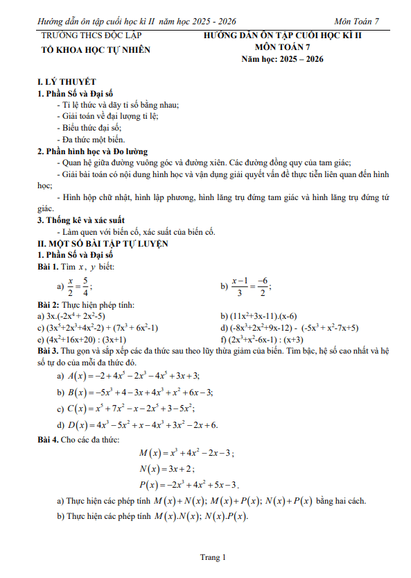
  • Ôn tập cuối học kì 2 Toán 7 năm 2025 – 2026 trường THCS Độc Lập – Thái Nguyên
    21/04/2026
  • Ôn tập cuối học kì 2 Toán 8 năm 2025 – 2026 trường THCS Độc Lập – Thái Nguyên
    21/04/2026
  • Ôn tập cuối học kì 2 Toán 9 năm 2025 – 2026 trường THCS Độc Lập – Thái Nguyên
    21/04/2026
  • Đề khảo sát chất lượng Toán 9 năm 2025 – 2026 phường Khương Đình – Hà Nội
    20/04/2026
  • Đề khảo sát Toán 9 năm 2025 – 2026 trường THPT chuyên Lê Quý Đôn – TP HCM
    20/04/2026

THEO DÕI TRÊN FACEBOOK

  • Facebook
  • Giới thiệu
  • Chính sách bảo mật
  • Liên hệ

Copyright © 2026 | THCS.TOANMATH.com