THCS.TOANMATH.com

Tài liệu và đề thi Toán THCS miễn phí

  • Toán 6
    • Tài liệu Toán 6
    • Đề Cương Toán 6
    • Đề giữa HK1 Toán 6
    • Đề HK1 Toán 6
    • Đề giữa HK2 Toán 6
    • Đề HK2 Toán 6
    • Đề khảo sát Toán 6
    • Đề HSG Toán 6
  • Toán 7
    • Tài liệu Toán 7
    • Đề Cương Toán 7
    • Đề giữa HK1 Toán 7
    • Đề HK1 Toán 7
    • Đề giữa HK2 Toán 7
    • Đề HK2 Toán 7
    • Đề khảo sát Toán 7
    • Đề HSG Toán 7
  • Toán 8
    • Tài liệu Toán 8
    • Đề Cương Toán 8
    • Đề giữa HK1 Toán 8
    • Đề HK1 Toán 8
    • Đề giữa HK2 Toán 8
    • Đề HK2 Toán 8
    • Đề khảo sát Toán 8
    • Đề HSG Toán 8
  • Toán 9
    • Tài liệu Toán 9
    • Đề Cương Toán 9
    • Đề giữa HK1 Toán 9
    • Đề HK1 Toán 9
    • Đề giữa HK2 Toán 9
    • Đề HK2 Toán 9
    • Đề khảo sát Toán 9
    • Đề HSG Toán 9
  • Thi vào lớp 10
    • Đề thi vào lớp 10
    • Tài liệu thi vào lớp 10
  • SGK-SBT
    • Sách Giáo Khoa THPT
    • Sách Giáo Khoa THCS
  • Toán THPT

Tháng: Tháng mười một 2021

Đề Thi Giữa HK1 Toán 7

Đề thi giữa kì 1 Toán 7 năm 2021 – 2022 trường TH&THCS Thụy Chính – Thái Bình

13/11/2021

Đề Thi Giữa HK1 Toán 9

Đề kiểm tra giữa học kì 1 Toán 9 năm 2021 – 2022 trường THCS Tô Hoàng – Hà Nội

13/11/2021

Đề Thi Giữa HK1 Toán 8

Đề kiểm tra giữa học kì 1 Toán 8 năm 2021 – 2022 trường THCS Tô Hoàng – Hà Nội

13/11/2021

Đề Thi Giữa HK1 Toán 7

Đề kiểm tra giữa học kì 1 Toán 7 năm 2021 – 2022 trường THCS Tô Hoàng – Hà Nội

13/11/2021

Đề Thi Giữa HK1 Toán 8

Đề thi giữa học kì 1 Toán 8 năm 2021 – 2022 trường THCS Đại Kim – Hà Nội

13/11/2021

Đề Thi Giữa HK1 Toán 9

Đề thi giữa kỳ 1 Toán 9 năm 2021 – 2022 trường THCS Lam Sơn – TP HCM

13/11/2021

Đề Thi Giữa HK1 Toán 7

Đề thi giữa học kỳ 1 Toán 7 năm 2021 – 2022 trường THCS Đông Ngạc – Hà Nội

13/11/2021

Đề Thi HSG Toán 9

Đề học sinh giỏi huyện Toán 9 năm 2021 – 2022 phòng GD&ĐT Nam Đàn – Nghệ An

13/11/2021

Đề Thi Giữa HK1 Toán 9

Đề kiểm tra giữa học kỳ 1 Toán 9 năm 2021 – 2022 trường THCS Lê Quý Đôn – TP HCM

13/11/2021

Đề Thi Giữa HK1 Toán 6

Đề thi giữa học kỳ 1 Toán 6 năm 2021 – 2022 sở GD&ĐT Bắc Ninh

13/11/2021

Đề Thi Giữa HK1 Toán 9

Đề thi giữa học kỳ 1 Toán 9 năm 2021 – 2022 sở GD&ĐT Bắc Ninh

13/11/2021

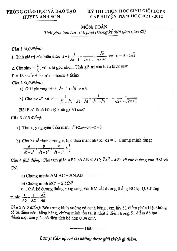
Đề Thi HSG Toán 9

Đề chọn học sinh giỏi Toán 9 năm 2021 – 2022 phòng GD&ĐT Anh Sơn – Nghệ An

11/11/2021

Đề Thi Giữa HK1 Toán 8

05 đề ôn tập kiểm tra giữa học kỳ 1 Toán 8 năm học 2021 – 2022

08/11/2021

Đề Thi Giữa HK1 Toán 9

Đề thi giữa kì 1 Toán 9 năm 2021 – 2022 trường THCS Nghĩa Tân – Hà Nội

08/11/2021

Đề Thi Giữa HK1 Toán 6

05 đề ôn tập kiểm tra giữa học kỳ 1 Toán 6 năm học 2021 – 2022

08/11/2021

Đề Thi Giữa HK1 Toán 8

Đề thi giữa học kì 1 Toán 8 năm 2021 – 2022 trường THCS Trạm Trôi – Hà Nội

08/11/2021

Đề Thi Giữa HK1 Toán 6

Đề kiểm tra giữa kì 1 Toán 6 năm 2021 – 2022 trường THCS Trưng Nhị – Hà Nội

08/11/2021

Đề Thi Giữa HK1 Toán 8

Đề kiểm tra giữa học kỳ 1 Toán 8 năm 2021 – 2022 trường THCS Tây Sơn – Hà Nội

08/11/2021

Đề Thi Giữa HK1 Toán 9

Đề thi giữa học kì 1 Toán 9 năm 2021 – 2022 trường THCS Kim Giang – Hà Nội

08/11/2021

Đề Thi Giữa HK1 Toán 9

Đề kiểm tra giữa HK1 Toán 9 năm 2021 – 2022 trường THCS Bình Tân – TP HCM

08/11/2021

Phân trang bài viết

« 1 2 3 »

TÌM KIẾM THEO TỪ KHÓA

TÀI LIỆU MỚI NHẤT

  • Đề cuối học kỳ 2 Toán 9 năm 2025 – 2026 sở GD&ĐT Hưng Yên
    23/04/2026
  • Đề cuối kỳ 2 Toán 8 năm 2025 – 2026 trường THCS Hòa Hưng – TP HCM
    23/04/2026
  • Đề cuối kỳ 2 Toán 7 năm 2025 – 2026 trường THCS Hoa Lư – TP HCM
    23/04/2026
  • Đề cuối kỳ 2 Toán 8 năm 2025 – 2026 trường THCS Hoa Lư – TP HCM
    23/04/2026
  • Đề thi thử tuyển sinh lớp 10 môn Toán năm 2026 trường THCS Chu Văn An – Đà Nẵng
    23/04/2026
  • Đề thi thử tuyển sinh lớp 10 môn Toán năm 2026 trường Nguyễn Khuyến – Đà Nẵng
    23/04/2026

THEO DÕI TRÊN FACEBOOK

  • Facebook
  • Giới thiệu
  • Chính sách bảo mật
  • Liên hệ

Copyright © 2026 | THCS.TOANMATH.com