THCS.TOANMATH.com

Tài liệu và đề thi Toán THCS miễn phí

  • Toán 6
    • Tài liệu Toán 6
    • Đề Cương Toán 6
    • Đề giữa HK1 Toán 6
    • Đề HK1 Toán 6
    • Đề giữa HK2 Toán 6
    • Đề HK2 Toán 6
    • Đề khảo sát Toán 6
    • Đề HSG Toán 6
  • Toán 7
    • Tài liệu Toán 7
    • Đề Cương Toán 7
    • Đề giữa HK1 Toán 7
    • Đề HK1 Toán 7
    • Đề giữa HK2 Toán 7
    • Đề HK2 Toán 7
    • Đề khảo sát Toán 7
    • Đề HSG Toán 7
  • Toán 8
    • Tài liệu Toán 8
    • Đề Cương Toán 8
    • Đề giữa HK1 Toán 8
    • Đề HK1 Toán 8
    • Đề giữa HK2 Toán 8
    • Đề HK2 Toán 8
    • Đề khảo sát Toán 8
    • Đề HSG Toán 8
  • Toán 9
    • Tài liệu Toán 9
    • Đề Cương Toán 9
    • Đề giữa HK1 Toán 9
    • Đề HK1 Toán 9
    • Đề giữa HK2 Toán 9
    • Đề HK2 Toán 9
    • Đề khảo sát Toán 9
    • Đề HSG Toán 9
  • Thi vào lớp 10
    • Đề thi vào lớp 10
    • Tài liệu thi vào lớp 10
  • SGK-SBT
    • Sách Giáo Khoa THPT
    • Sách Giáo Khoa THCS
  • Toán THPT

Tháng: Tháng mười một 2023

Đề Thi Giữa HK1 Toán 7

Đề giữa học kì 1 Toán 7 năm 2023 – 2024 phòng GD&ĐT Giao Thuỷ – Nam Định

05/11/2023

Đề Thi Giữa HK1 Toán 8

Đề giữa học kì 1 Toán 8 năm 2023 – 2024 phòng GD&ĐT Giao Thuỷ – Nam Định

05/11/2023

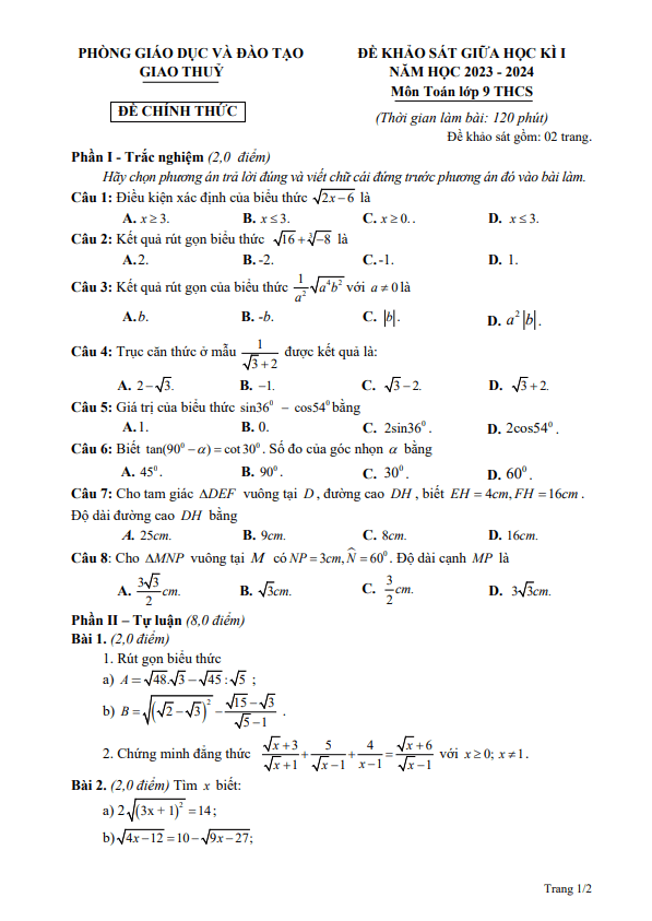
Đề Thi Giữa HK1 Toán 9

Đề giữa học kì 1 Toán 9 năm 2023 – 2024 phòng GD&ĐT Giao Thuỷ – Nam Định

05/11/2023

Đề Thi Giữa HK1 Toán 6

Đề giữa học kì 1 Toán 6 năm 2023 – 2024 phòng GD&ĐT Lục Ngạn – Bắc Giang

05/11/2023

Đề Thi Giữa HK1 Toán 7

Đề giữa học kì 1 Toán 7 năm 2023 – 2024 phòng GD&ĐT Lục Ngạn – Bắc Giang

05/11/2023

Đề Thi Giữa HK1 Toán 8

Đề giữa học kì 1 Toán 8 năm 2023 – 2024 phòng GD&ĐT Lục Ngạn – Bắc Giang

05/11/2023

Đề Thi Giữa HK1 Toán 9

Đề giữa học kì 1 Toán 9 năm 2023 – 2024 phòng GD&ĐT Lục Ngạn – Bắc Giang

05/11/2023

Đề Thi Giữa HK1 Toán 6

Đề giữa kì 1 Toán 6 năm 2023 – 2024 phòng GD&ĐT thành phố Ninh Bình

04/11/2023

Đề Thi Giữa HK1 Toán 7

Đề giữa kì 1 Toán 7 năm 2023 – 2024 phòng GD&ĐT thành phố Ninh Bình

04/11/2023

Đề Thi Giữa HK1 Toán 8

Đề giữa kì 1 Toán 8 năm 2023 – 2024 phòng GD&ĐT thành phố Ninh Bình

04/11/2023

Đề Thi Giữa HK1 Toán 9

Đề giữa kì 1 Toán 9 năm 2023 – 2024 phòng GD&ĐT thành phố Ninh Bình

04/11/2023

Đề Thi Giữa HK1 Toán 9

Đề giữa học kỳ 1 Toán 9 năm 2023 – 2024 trường THCS Trần Cao Vân – TT Huế

03/11/2023

Đề Thi Giữa HK1 Toán 6

Đề giữa học kì 1 Toán 6 năm 2023 – 2024 trường THCS Thành Công – Hà Nội

03/11/2023

Đề Thi Giữa HK1 Toán 9

Đề giữa kỳ 1 Toán 9 năm 2023 – 2024 trường THCS Nguyễn Văn Linh – BR VT

03/11/2023

Đề Thi Giữa HK1 Toán 9

Đề giữa học kì 1 Toán 9 năm 2023 – 2024 trường THCS Giảng Võ – Hà Nội

03/11/2023

Đề Thi HSG Toán 9

Đề học sinh giỏi Toán 9 năm 2023 – 2024 phòng GD&ĐT Hoàng Mai – Nghệ An

03/11/2023

Đề Thi Giữa HK1 Toán 9

Đề giữa kỳ 1 Toán 9 năm 2023 – 2024 trường THCS Trần Quang Khải – TP HCM

03/11/2023

Đề Thi Giữa HK1 Toán 7

Đề giữa kỳ 1 Toán 7 năm 2023 – 2024 trường THCS Nguyễn Trường Tộ – Hà Nội

03/11/2023

Đề Thi Giữa HK1 Toán 9

Đề giữa học kì 1 Toán 9 năm 2023 – 2024 trường THCS Trưng Vương – Hà Nội

03/11/2023

Đề Thi Giữa HK1 Toán 9

Đề giữa học kỳ 1 Toán 9 năm 2023 – 2024 trường THCS Phương Thiện – Hà Giang

03/11/2023

Phân trang bài viết

« 1 … 8 9 10 11 »

TÌM KIẾM THEO TỪ KHÓA

TÀI LIỆU MỚI NHẤT

  • Đề khảo sát vào lớp 10 môn Toán lần 5 năm 2026 trường THCS Hợp Thành – Thanh Hóa
    21/04/2026
  • Đề thi thử vào lớp 10 môn Toán lần 3 năm 2026 – 2027 trường Hoằng Sơn 1 – Thanh Hóa
    21/04/2026
  • Đề cuối học kỳ 2 Toán 7 năm 2025 – 2026 trường THCS Phước Bình – TP HCM
    21/04/2026
  • Đề cuối học kỳ 2 Toán 8 năm 2025 – 2026 trường THCS Phước Bình – TP HCM
    21/04/2026
  • Ôn tập cuối học kì 2 Toán 6 năm 2025 – 2026 trường THCS Độc Lập – Thái Nguyên
    21/04/2026
  • Ôn tập cuối học kì 2 Toán 7 năm 2025 – 2026 trường THCS Độc Lập – Thái Nguyên
    21/04/2026

THEO DÕI TRÊN FACEBOOK

  • Facebook
  • Giới thiệu
  • Chính sách bảo mật
  • Liên hệ

Copyright © 2026 | THCS.TOANMATH.com