THCS.TOANMATH.com

Tài liệu và đề thi Toán THCS miễn phí

  • Toán 6
    • Tài liệu Toán 6
    • Đề Cương Toán 6
    • Đề giữa HK1 Toán 6
    • Đề HK1 Toán 6
    • Đề giữa HK2 Toán 6
    • Đề HK2 Toán 6
    • Đề khảo sát Toán 6
    • Đề HSG Toán 6
  • Toán 7
    • Tài liệu Toán 7
    • Đề Cương Toán 7
    • Đề giữa HK1 Toán 7
    • Đề HK1 Toán 7
    • Đề giữa HK2 Toán 7
    • Đề HK2 Toán 7
    • Đề khảo sát Toán 7
    • Đề HSG Toán 7
  • Toán 8
    • Tài liệu Toán 8
    • Đề Cương Toán 8
    • Đề giữa HK1 Toán 8
    • Đề HK1 Toán 8
    • Đề giữa HK2 Toán 8
    • Đề HK2 Toán 8
    • Đề khảo sát Toán 8
    • Đề HSG Toán 8
  • Toán 9
    • Tài liệu Toán 9
    • Đề Cương Toán 9
    • Đề giữa HK1 Toán 9
    • Đề HK1 Toán 9
    • Đề giữa HK2 Toán 9
    • Đề HK2 Toán 9
    • Đề khảo sát Toán 9
    • Đề HSG Toán 9
  • Thi vào lớp 10
    • Đề thi vào lớp 10
    • Tài liệu thi vào lớp 10
  • SGK-SBT
    • Sách Giáo Khoa THPT
    • Sách Giáo Khoa THCS
  • Toán THPT

Đề Thi HSG Toán 7

Tổng hợp ĐỀ THI HSG TOÁN 7 của các trường Trung học Cơ sở, các Phòng Giáo dục và Đào tạo, các Sở Giáo dục và Đào tạo trên toàn quốc, có đáp án và lời giải chi tiết (định dạng PDF + WORD), hỗ trợ học sinh lớp 7 trong quá trình ôn tập chuẩn bị cho kỳ thi chọn học sinh giỏi Toán 7 các cấp: cấp trường / cấp huyện / cấp tỉnh / cấp Quốc gia.

Quý thầy, cô giáo và bạn đọc có thể chia sẻ thêm ĐỀ THI HSG TOÁN 7 bằng cách gửi về địa chỉ email: toanmath.com@gmail.com, nhằm tạo nguồn đề thi phong phú, đa dạng để các em học sinh lớp 7 tham khảo và rèn luyện.

Đề Thi HSG Toán 7

Đề học sinh giỏi huyện Toán 7 năm 2022 – 2023 phòng GD&ĐT Lục Nam – Bắc Giang

23/03/2023

Đề Thi HSG Toán 7

Đề HSG huyện Toán 7 năm 2022 – 2023 phòng GD&ĐT Thạch Thành – Thanh Hóa

15/03/2023

Đề Thi HSG Toán 7

Đề HSG Toán 7 vòng 1 năm 2022 – 2023 liên trường THCS huyện Diễn Châu – Nghệ An

14/03/2023

Đề Thi HSG Toán 7

Đề khảo sát HSG Toán 7 lần 3 năm 2022 – 2023 trường THCS Trường Sơn – Thanh Hóa

14/03/2023

Đề Thi HSG Toán 7

Đề thi thử HSG lần 2 Toán 7 năm 2022 – 2023 phòng GD&ĐT Hiệp Hòa – Bắc Giang

11/03/2023

Đề Thi HSG Toán 7

Đề HSG cấp huyện Toán 7 năm 2022 – 2023 phòng GD&ĐT Lương Tài – Bắc Ninh

08/03/2023

Đề Thi HSG Toán 7

Đề HSG cấp huyện Toán 7 năm 2022 – 2023 phòng GD&ĐT Lục Ngạn – Bắc Giang

08/03/2023

Đề Thi HSG Toán 7

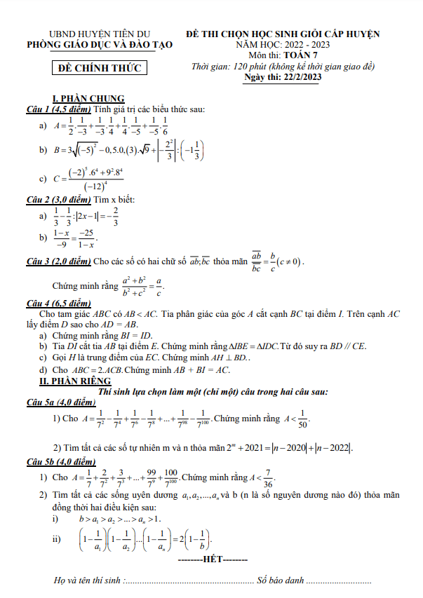
Đề học sinh giỏi huyện Toán 7 năm 2022 – 2023 phòng GD&ĐT Tiên Du – Bắc Ninh

03/03/2023

Đề Thi HSG Toán 7

Đề giao lưu HSG lần 3 Toán 7 năm 2022 – 2023 cụm THCS huyện Nga Sơn – Thanh Hóa

01/03/2023

Đề Thi HSG Toán 7

Đề giao lưu HSG Toán 7 năm 2022 – 2023 phòng GD&ĐT Hà Trung – Thanh Hóa

01/03/2023

Đề Thi HSG Toán 7

Đề giao lưu HSG Toán 7 năm 2022 – 2023 phòng GD&ĐT Cẩm Thủy – Thanh Hoá

27/02/2023

Đề Thi HSG Toán 7

Đề HSG Toán 7 năm 2022 – 2023 cụm chuyên môn 3T-H-G Bình Xuyên – Vĩnh Phúc

27/02/2023

Đề Thi HSG Toán 7

Đề học sinh giỏi Toán 7 năm 2022 – 2023 phòng GD&ĐT Hậu Lộc – Thanh Hóa

25/02/2023

Đề Thi HSG Toán 7

Đề HSG cấp cụm Toán 7 năm 2022 – 2023 trường THCS Cành Nàng – Thanh Hóa

25/02/2023

Đề Thi HSG Toán 7

Đề khảo sát HSG Toán 7 năm 2022 – 2023 trường THCS Cành Nàng – Thanh Hóa

25/02/2023

Đề Thi HSG Toán 7

Đề Olympic Toán 7 đợt 1 năm 2022 – 2023 phòng GD&ĐT Ứng Hòa – Hà Nội

22/02/2023

Đề Thi HSG Toán 7

Đề học sinh giỏi huyện Toán 7 năm 2022 – 2023 phòng GD&ĐT Yên Bình – Yên Bái

18/12/2022

Đề Thi HSG Toán 7

Đề khảo sát HSG Toán 7 đợt 1 năm 2022 – 2023 phòng GD&ĐT Ninh Giang – Hải Dương

07/11/2022

Đề Thi HSG Toán 7

Đề chọn đội tuyển Toán 7 năm 2022 – 2023 hệ thống GD Archimedes School – Hà Nội

07/09/2022

Đề Thi HSG Toán 7

Tuyển tập 50 đề ôn thi chọn học sinh giỏi môn Toán lớp 7 có lời giải

15/08/2022

Phân trang bài viết

« 1 … 6 7 8 … 12 »

TÌM KIẾM THEO TỪ KHÓA

TÀI LIỆU MỚI NHẤT

  • Đề khảo sát vào lớp 10 môn Toán (chuyên) năm 2026 – 2027 trường THPT chuyên Thái Nguyên
    19/04/2026
  • Đề khảo sát vào lớp 10 môn Toán (chung) năm 2026 – 2027 trường THPT chuyên Thái Nguyên
    19/04/2026
  • Đề giao lưu HSG Toán 6 năm 2025 – 2026 xã Tống Sơn – Thanh Hóa
    19/04/2026
  • Đề giao lưu HSG Toán 7 năm 2025 – 2026 xã Tống Sơn – Thanh Hóa
    19/04/2026
  • Đề giao lưu HSG Toán 8 năm 2025 – 2026 xã Tống Sơn – Thanh Hóa
    19/04/2026
  • Đề khảo sát Toán 9 lần 2 năm 2025 – 2026 sở GD&ĐT Ninh Bình
    18/04/2026

THEO DÕI TRÊN FACEBOOK

  • Facebook
  • Giới thiệu
  • Chính sách bảo mật
  • Liên hệ

Copyright © 2026 | THCS.TOANMATH.com