THCS.TOANMATH.com

Tài liệu và đề thi Toán THCS miễn phí

  • Toán 6
    • Tài liệu Toán 6
    • Đề Cương Toán 6
    • Đề giữa HK1 Toán 6
    • Đề HK1 Toán 6
    • Đề giữa HK2 Toán 6
    • Đề HK2 Toán 6
    • Đề khảo sát Toán 6
    • Đề HSG Toán 6
  • Toán 7
    • Tài liệu Toán 7
    • Đề Cương Toán 7
    • Đề giữa HK1 Toán 7
    • Đề HK1 Toán 7
    • Đề giữa HK2 Toán 7
    • Đề HK2 Toán 7
    • Đề khảo sát Toán 7
    • Đề HSG Toán 7
  • Toán 8
    • Tài liệu Toán 8
    • Đề Cương Toán 8
    • Đề giữa HK1 Toán 8
    • Đề HK1 Toán 8
    • Đề giữa HK2 Toán 8
    • Đề HK2 Toán 8
    • Đề khảo sát Toán 8
    • Đề HSG Toán 8
  • Toán 9
    • Tài liệu Toán 9
    • Đề Cương Toán 9
    • Đề giữa HK1 Toán 9
    • Đề HK1 Toán 9
    • Đề giữa HK2 Toán 9
    • Đề HK2 Toán 9
    • Đề khảo sát Toán 9
    • Đề HSG Toán 9
  • Thi vào lớp 10
    • Đề thi vào lớp 10
    • Tài liệu thi vào lớp 10
  • SGK-SBT
    • Sách Giáo Khoa THPT
    • Sách Giáo Khoa THCS
  • Toán THPT

Tài Liệu Toán 9

Tuyển tập các TÀI LIỆU TOÁN 9 hay nhất, bao gồm các chủ đề: Căn Thức; Hàm Số Và Đồ Thị; Phương Trình Và Hệ Phương Trình; Bất Phương Trình Bậc Nhất Một Ẩn; Các Hình Khối Trong Thực Tiễn; Hệ Thức Lượng Trong Tam Giác Vuông; Đường Tròn; Đa Giác Đều; Thu Thập Và Tổ Chức Dữ Liệu; Phân Tích Và Xử Lí Dữ Liệu; Một Số Yếu Tố Xác Suất.

Các TÀI LIỆU TOÁN 9 được biên soạn phù hợp với chương trình sách giáo khoa Toán 9: Cánh Diều, Chân Trời Sáng Tạo, Kết Nối Tri Thức Với Cuộc Sống; với đầy đủ lý thuyết, các dạng toán, ví dụ minh họa, bài tập trắc nghiệm và bài tập tự luận có đáp án và lời giải chi tiết, đầy đủ các mức độ nhận thức: nhận biết, thông hiểu, vận dụng và vận dụng cao.

Tài Liệu Toán 9

Lý thuyết và phân dạng môn Toán 9 – Nguyễn Ngọc Dũng

30/07/2023

Tài Liệu Toán 9

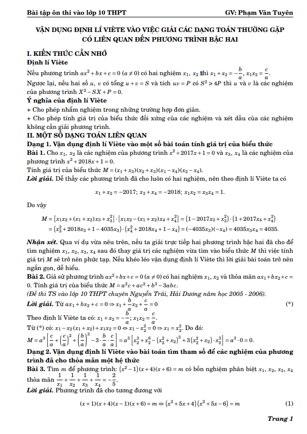
Vận dụng định lí Viète giải các dạng toán liên quan đến phương trình bậc hai

15/07/2023

Tài Liệu Toán 9

Vở bài tập Toán 9 tập 2 phần Hình học

11/07/2023

Tài Liệu Toán 9

Vở bài tập Toán 9 tập 2 phần Đại số

10/07/2023

Tài Liệu Toán 9

Vở bài tập Toán 9 tập 1 phần Hình học

10/07/2023

Tài Liệu Toán 9

Vở bài tập Toán 9 tập 1 phần Đại số

10/07/2023

Tài Liệu Toán 9

Một số kỹ thuật sử dụng bất đẳng thức AM – GM và bất đẳng thức Bunyakovski

25/04/2023

Tài Liệu Toán 9

487 bài toán hệ phương trình bậc nhất và phương trình bậc hai

08/02/2023

Tài Liệu Toán 9

Ôn luyện Toán 9 theo chủ đề (tập 2)

31/01/2023

Tài Liệu Toán 9

Ôn luyện Toán 9 theo chủ đề (tập 1)

31/01/2023

Tài Liệu Toán 9

Kỹ thuật sử dụng bất đẳng thức phụ trong chứng minh bất đẳng thức

14/10/2022

Tài Liệu Toán 9

Lý thuyết và bài tập môn Toán 9 học kì 2 – Đỗ Văn Đạt

14/09/2022

Tài Liệu Toán 9

Lý thuyết và bài tập môn Toán 9 học kì 1 – Đỗ Văn Đạt

14/09/2022

Tài Liệu Toán 9

Tài liệu học tập môn Toán 9 học kì 1

06/09/2022

Tài Liệu Toán 9

Bài tập trắc nghiệm căn bậc hai và căn bậc ba – Hà Huy Hoàng

21/08/2022

Tài Liệu Toán 9

Các chuyên đề bồi dưỡng học sinh giỏi Đại số 9

16/08/2022

Tài Liệu Toán 9

Các chuyên đề bồi dưỡng học sinh giỏi Hình học 9

16/08/2022

Tài Liệu Toán 9

Tóm tắt lý thuyết, các dạng toán và bài tập môn Toán 9

12/08/2022

Tài Liệu Toán 9

Các dạng bài tập hình trụ – hình nón – hình cầu

22/07/2022

Tài Liệu Toán 9

Các dạng bài tập góc với đường tròn

22/07/2022

Phân trang bài viết

« 1 … 5 6 7 … 14 »

TÌM KIẾM THEO TỪ KHÓA

TÀI LIỆU MỚI NHẤT

  • Đề Olympic Toán THCS lần 2 năm 2025 – 2026 trường chuyên Nguyễn Trãi – Hải Phòng
    25/04/2026
  • Đề khảo sát Toán 9 lần 1 năm 2025 – 2026 trường Thống Nhất – Thanh Hóa
    25/04/2026
  • Đề khảo sát Toán 9 năm 2025 – 2026 phường Việt Hưng – Hà Nội
    25/04/2026
  • Đề chọn học sinh giỏi Toán 8 năm 2025 – 2026 cụm các trường THCS – Nghệ An
    25/04/2026
  • Đề thi thử tuyển sinh lớp 10 môn Toán năm 2026 – 2027 sở GD&ĐT Sơn La
    25/04/2026
  • Đề thi thử vào lớp 10 môn Toán năm 2026 – 2027 cụm THCS công lập – Hà Nội
    24/04/2026

THEO DÕI TRÊN FACEBOOK

  • Facebook
  • Giới thiệu
  • Chính sách bảo mật
  • Liên hệ

Copyright © 2026 | THCS.TOANMATH.com